Кевлар

Кевлар® (пара-арамид)
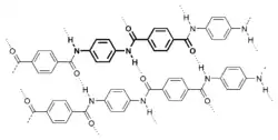
Изображение химической структуры
Кевларовое волокноКевларовое волокно
Классификация
Рег. номер CAS 24938-64-5
ChEBI 82391
Приведены данные для стандартных условий (25 °C, 100 кПа), если не указано иное.
Логотип Викисклада Медиафайлы на Викискладе
Структура кевлара. Прочность обеспечивается ковалентными связями — сплошные линии. Пунктиром указаны слабые водородные связи
Волокно кевлара характерного золотисто-жёлтого цвета. Диаметр элементарного волокна 10 мкм

Кевла́р (англ. Kevlar) — пара-арамидное волокно (полипарафенилен-терефталамид), выпускаемое фирмой DuPont. Кевлар обладает высокой прочностью. Впервые кевлар был получен группой Стефани Кволек — американского химика и сотрудницы фирмы DuPont в 1964 году, технология производства разработана в 1965 году, с начала 1970-х годов начато промышленное производство.

Получение

Волокна синтезируются при низкой температуре методом поликонденсации в растворе. К последнему добавляют реагенты и активно перемешивают. Из этого раствора выделяется полимер в виде крошки либо геля, который промывают и высушивают. Потом полимер растворяют в сильных кислотах (к примеру, в серной). Из получившегося раствора способом экструзии (формуются через фильеры) формируются нити и волокна. Затем нити и волокна подаются в осадительную ванну, промываются и снова сушатся.

Марки

Производятся несколько марок кевлара[1]:

  • Kevlar K-29 (1975) — применяется в промышленности для изготовления кабелей, тормозных колодок, индивидуальной брони и брони боевых машин.
  • Kevlar K49 — марка высокомодульного волокна используется в кабельной промышленности, для изготовления оплётки оптоволокна, для изготовления канатов, армирования пластмасс.
  • Kevlar K100 — пряжа, окрашенная производителем.
  • Kevlar K119 — с повышенным удлинением, гибкая и обладающая повышенной усталостной прочностью.
  • Kevlar K129 — марка волокна повышенной прочности для брони.
  • Kevlar AP — по прочности превосходит K-29 на 15 процентов.
  • Kevlar XP — композиция на основе смолы с повышенной вязкостью и нового волокна KM2plus.
  • Kevlar KM2 (1992) — марка волокна для получения ткани, отвечающей требованиям, предъявляемым к бронешлемам и бронежилетам.

Применение

Изначально материал разрабатывался для армирования автомобильных шин, для чего он используется и по сей день. Кроме того, кевлар используют как армирующее волокно в композитных материалах, которые получаются прочными и лёгкими.

Кевлар используется для армирования медных и волоконно-оптических кабелей (нитка по всей длине кабеля, предотвращающая растяжение и разрыв кабеля), в диффузорах акустических динамиков и в протезно-ортопедической промышленности для увеличения износостойкости частей углепластиковых стоп.

Кевларовое волокно также используется в качестве армирующего компонента в смешанных тканях, придающего изделиям из них стойкость по отношению к абразивным и режущим воздействиям, из таких тканей изготовляются, в частности, защитные перчатки и защитные вставки в спортивную одежду (для мотоспорта, сноубординга и т. п.). Также он используется в обувной промышленности для изготовления антипрокольных стелек.

Средства индивидуальной бронезащиты

Органотекстолит на основе ткани кевлара для защитных элементов бронежилета (Военно-исторический музей Бундесвера, ФРГ)
Фрагменты тканевополимерного шлема из кевлара, использованного в бою для поглощения энергии взрыва ручной гранаты, северо-восточный Ирак, 2004. Личный состав отделения спасен, капрал Данэм, закрывший шлемом гранату, погиб

Механические свойства материала делают его пригодным для изготовления средств индивидуальной бронезащиты (СИБ) — бронежилетов и бронешлемов. Исследования второй половины 1970-х годов показали, что волокно марки кевлар-29 и его последующие модификации при использовании в виде многослойных тканевополимерных преград (композит из ткани и пластика) дают наилучшее сочетание скорости поглощения энергии и длительности взаимодействия с ударником, обеспечивая тем самым относительно высокие, при данной массе преграды, показатели противопульной и противоосколочной стойкости[2]. Это одно из самых известных применений кевлара.

Кевлар обладает сравнительно небольшим весом, при этом значительной силой внутреннего трения, которая позволяет быстро рассеивать кинетическую энергию при столкновении, превращая её в тепловую. При этом он из-за своей тонкости не способен остановить острые и тяжёлые предметы, обладающие большим импульсом, к примеру, винтовочную пулю или лезвие штыка. По этой причине в современных армейских бронежилетах его комбинируют с дополнительными защитными пластинами из стали, титана или керамики, которые недолговечны, но способны спасти жизнь солдату в бою, а также с амортизирующими элементами для уменьшения заброневых действий снарядов.

В 1970-е годы одним из наиболее значительных достижений в разработке бронежилетов стало применение армирующего волокна из кевлара. Разработка бронежилета из кевлара Национальным институтом правосудия США (англ. National Institute of Justice) происходила в течение нескольких лет в четыре этапа. На первом этапе волокно тестировалось, чтобы определить, способно ли оно остановить пулю. Второй этап заключался в определении количества слоев материала, необходимого для предотвращения пробивания пулями различного калибра и летящими с разной скоростью, и разработке прототипа жилета, способного защищать сотрудников от наиболее распространенных угроз: пуль калибра .38 Special и .22 Long Rifle. К 1973 году был разработан жилет из семи слоев волокна из кевлара для полевых испытаний. Было установлено, что при намокании защитные свойства кевлара ухудшались. Способность защищать от пуль также уменьшалась после воздействия ультрафиолета, в том числе солнечного света. Химчистка и отбеливатели также негативно сказывались на защитных свойствах ткани, так же, как и неоднократные стирки. Чтобы обойти эти проблемы, был разработан водостойкий жилет, имеющий покрытие из ткани для предотвращения воздействия солнечных лучей и других отрицательно влияющих факторов.

Судостроение

С начала 1990-х годов кевлар получил распространение в судостроении. Из-за технологических сложностей и высокой стоимости кевлара его применяют выборочно, лишь для изготовления отдельных частей судов, например, только в килевой части или по швам. Многие производители (такие, как верфи BAIA Yachts, Blue water, Dolphin, Danish yacht, Zeelander Yachts), делая в год не очень большое количество яхт, планомерно переходят на использование кевлара. Одним из лидеров в производстве яхт из кевлара считается[кем?] итальянская верфь Cranchi, которая производит яхты из кевлара размером от 11 до 21 метра.

Авиационная промышленность

Кевлар применяется в конструкции ряда беспилотных летательных аппаратов (например, RQ-11[3]) для повышения защиты.

Физические свойства

Кевлар сохраняет прочность и эластичность при низких температурах, вплоть до криогенных (−196 °C), более того, при низких температурах он даже становится чуть прочнее.

При нагреве кевлар не плавится, а разлагается при сравнительно высоких температурах (430—480 °C). Температура разложения зависит от скорости нагрева и продолжительности воздействия температуры. При повышенных температурах (более 150 °C) прочность кевлара уменьшается с течением времени. Например, при температуре 160 °C прочность на разрыв уменьшается на 10—20 % после 500 часов. При 250 °C кевлар теряет 50 % своей прочности за 70 часов[4].

См. также

Примечания

  1. Light in Weight, High in Performance — Kevlar® Fiber. Дата обращения: 10 февраля 2017. Архивировано 20 января 2017 года.
  2. Ballistic materials and penetration mechanics : [англ.] // Ed. at October 19, 2020. — Amsterdam : Elsevier Scientific Pub. Co., 1980. — ISBN 0444419284.
  3. Jeremiah Gertler. US unmanned aerial systems Архивная копия от 6 февраля 2012 на Wayback Machine (3 января 2012) c.45
  4. KEVLAR Aramid Fiber : Technical Guide : [англ.] : [арх. 8 августа 2007]. — DuPont. — С. II-1 (3-я паг.). — 32 ([2]+i+[1]+iv+[1]+14+[1]+4+[1]+iv+[1]) с.

Литература

  • Андреева Р. П. Кевлар // Энциклопедия моды. СПб.: Литера, 1997. — С. 194—196. — ISBN 5-86617-030-2.
  • Лисов, О. Кевлар — перспективный материал военного назначения // Зарубежное военное обозрение. — 1986.   2. — С. 89–90.