Гиалуроновая кислота
| Гиалуроновая кислота | |
|---|---|
| Hyaluronic Acid | |
| |
| |
| Химическое соединение | |
| ИЮПАК | (2S,3S,4S,5R,6R)-6-[(2S,3R,5S,6R)-3-ацетамидо-2-[(2S,3S,4R,5R,6R)-6-[(2R,3R,5S,6R)-3-ацетамино-2,5-дигидрокси-6-(гидроксиметил)оксан-4-ил]окси-2-карбокси-4,5-дигидроксиоксан-3-ил]окси-5-гидрокси-6-(гидроксиметил)оксан-4-ил]окси-3,4,5-тригидроксиоксан-2-карбоновая кислота |
| CAS | 9004-61-9 |
| PubChem | 24759 |
| DrugBank | DB08818 |
| Состав | |
| Лекарственные формы | |
| инъекции, крем, лосьон, капсулы, глазные капли | |
Гиалуро́новая кислота́, гиалурона́н, гиалурона́т (сокр. ГК) — линейный гетерополисахарид, несульфированный гликозаминогликан, входящий в состав соединительной, эпителиальной и нервной тканей. От других гликозаминогликанов, присутствующих в организме человека, гиалуронан отличается высокой молекулярной массой и тем, что он не сульфонирован и не подвергается модификации после синтеза в организме. Гиалуронан — единственный гликозаминогликан, находящийся в свободном состоянии в промежуточном веществе межклеточного пространства дермы, а также в соединительной ткани всех позвоночных[1].
Гиалуроновая кислота является одним из основных компонентов внеклеточного матрикса, содержится во многих биологических жидкостях (слюне, синовиальной жидкости и др.). Принимает значительное участие в пролиферации и миграции клеток. Продуцируется некоторыми бактериями (напр. Streptococcus). В теле человека весом 70 кг в среднем содержится около 15 граммов гиалуроновой кислоты, треть из которой преобразуется (расщепляется или синтезируется) каждый день[2].
Инъекции гиалуроновой кислоты — наиболее часто применяемые в косметологии процедуры[1].
Функции
Гиалуроновая кислота — важный компонент суставного хряща, в котором присутствует в виде оболочки каждой клетки (хондроцита). При связывании гиалуроновой кислоты с мономерами аггрекана в присутствии связующего белка, в хряще формируются крупные отрицательно заряженные агрегаты, поглощающие воду. Эти агрегаты отвечают за упругость хряща (устойчивость его к компрессии). Молекулярная масса (длина цепи) гиалуроновой кислоты в хряще уменьшается с возрастом организма, при этом общее её содержание увеличивается[3].
Структура
Структура гиалуроновой кислоты была установлена в 1930-х годах в лаборатории Карла Майера (Karl Meyer).
Молекула гиалуроновой кислоты представляет собой линейный полимер дисахаридного фрагмента гиалобиуроновой кислоты (основа полимера – дисахарид из пары D-глюкуронида-β-(1,3)-(N-ацетил)-глюкозамина, соединённых β(1→4)-гликозидной связью)[1]. Иначе – это поли-(2-ацетамидо-2-дезокси-D-глюко)-D-глюкуроногликан, то есть полимер, состоящий из остатков D-глюкуроновой кислоты и D-N-ацетилглюкозамина, соединённых поочерёдно β-1,4- и β-1,3-гликозидными связями.
Молекула гиалуроновой кислоты может содержать до 25 000 дисахаридных звеньев. Природная гиалуроновая кислота имеет молекулярную массу от 5000 до 20 000 000 дальтон. Средняя молекулярная масса полимера, содержащегося в синовиальной жидкости у человека составляет 3 140 000 дальтон[4].
Молекула гиалуроновой кислоты является энергетически стабильной в частности благодаря стереохимии составляющих её дисахаридов. Объёмные заместители пиранозного кольца находятся в стерически выгодных положениях, в то время как меньшие по размеру атомы водорода занимают менее выгодные аксиальные позиции.
Гиалуронан не имеет изомеров, это вещество вне зависимости от источника (организма) происхождения имеет одинаковый состав и различается только молекулярной массой[1].
Размер (длина) молекул гиалуронана значительно превышает размеры молекул других гликозаминогликанов. В водном растворе средний продольный размер макромолекулы гиалуронана с молекулярной массой 2 500 000 Да превышает 10 мкм. Длина этой молекулы приблизительно равна диаметру эритроцита человека и значительно больше среднего размера бактерий[1].
Гиалуронан гидрофилен. Гидрофильные свойства молекуле гиалуроновой кислоты обусловлены наличием в ней карбоксильных, гидроксильных и ацетоамидных групп[1].
В тканях молекулы гиалуронана образуют сетчатую структуру и формируют межклеточный матрикс[1].
Биосинтез
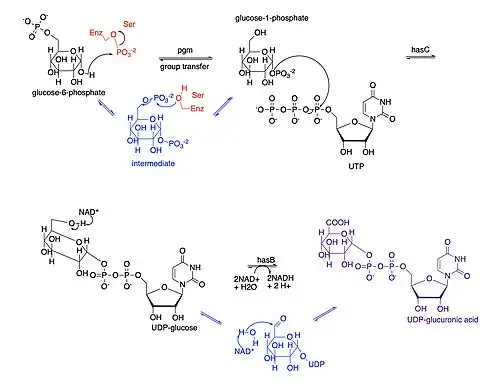
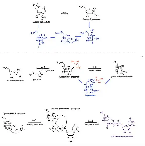
Синтез молекул гиалуроновой кислоты осуществляется с помощью ферментов — гиалуронансинтазами (HA-synthase, HAS), семейством интегральных мембранных белков, которые синтезируют чётко определённые, однородные по длине цепи, характерные для молекул гиалуроната[5]. В организмах позвоночных существует три типа HAS: HAS1, HAS2, HAS3; каждый из них способствует удлинению полимера ГК[6]. Для создания капсулы гиалуроната должны присутствовать эти ферменты, поскольку они полимеризуют предшественники UDP-сахарá в молекулы ГК. Предшественники ГК синтезируются путём предварительного фосфорилирования глюкозы гексокиназой с образованием глюкозо-6-фосфата, который является основным прекурсом (предшественником) ГК[7]. Затем используются два пути синтеза UDP-N-ацетилглюкозамина и UDP-глюкуроновой кислоты, которые оба вступают в реакцию с образованием молекул ГК. Глюкозо-6-фосфат превращается либо во фруктозо-6-фосфат с помощью фосфоглюкоизомеразы, либо в глюкозо-1-фосфат с помощью фосфоглюкомутазы, причём оба метаболита (Ф-6-Ф и Г-1-Ф) подвергаются различным реакциям[7].
Синтез UDP-глюкуроновой кислоты
Уридиндифосфат-глюкуроновая кислота (UDP-глюкуроновая кислота) образуется с помощью UDP-глюкозопирофосфорилазы, которая переносит молекулу UDP от UTP на глюкозо-1-фосфат, превращая в UDP-глюкозу, которая затем вступает в реакцию окисления UDP-глюкозодегидрогеназой (NAD+-зависимая), с образованием UDP-глюкуроновой кислоты[5].

Синтез UDP-N-ацетилглюкозамина
Дальнейший путь превращения фруктозо-6-фосфата протекает в сторону образования глюкозамина-6-фосфата, реакцию катализирует фермент амидотрансфераза (переносит NH2-группу от молекулы L-глутамина на фруктозо-6-фосфат). Затем мутаза вступает в реакцию с данным продуктом (изомеризация) с образованием глюкозамина-1-фосфата. Далее ацетилтрансфераза преобразует его в N-ацетилглюкозамин-1-фосфат (ацетилирование NH2-группы), и, наконец, пирофосфорилаза путём переноса UDP от UTP, превращает этот продукт в молекулы UDP-N-ацетилглюкозамина[7].

Объединение UDP-глюкуроновой кислоты и UDP-N-ацетилглюкозамина
Молекулы UDP-глюкуроновой кислоты и UDP-N-ацетилглюкозамина связываются вместе, с помощью гиалуронансинтазы, образуя гиалуроновую кислоту, таким образом завершая синтез[7].

Биодеградация
Гиалуроновая кислота деградируется семейством ферментов, называемых гиалуронидазами. В организме человека существуют по меньшей мере семь типов гиалуронидазоподобных ферментов, некоторые из которых являются супрессорами опухолеобразования. Продукты разложения гиалуроновой кислоты (олигосахариды и крайне низкомолекулярные гиалуронаты) проявляют проангиогенные свойства. Кроме того, недавние исследования показали, что фрагменты гиалуроновой кислоты, в отличие от исходного высокомолеколекулярного полисахарида, способны индуцировать воспалительный ответ в макрофагах и дендритных клетках[8] при повреждениях тканей и отторжении трансплантированной кожи.
Применение
Гиалуроновая кислота — наиболее часто используемый в косметологии инъекционный препарат[1].
Также гиалуроновая кислота используется в качестве вспомогательной среды для переноса эмбрионов при вспомогательных репродуктивных технологиях, в качестве жидкости для обработки язв ног и пролежней, при лечении (как перорально, так и инъекционно) заболеваний суставов. Все эти методы применения гиалуроновой кислоты объединяет низкое качество как исследований эффективности, так и побочных эффектов. Большинство исследований, показавших эффективность, произведены на малых группах, положительные эффекты отмечены не во всех исследованиях и снижаются в тех из них, где уменьшается вероятность систематической ошибки [9][10][11].
Существует множество исследований применения гиалуроновой кислоты при различных болезнях суставов, но все они отличаются малой выборкой и слабым контролем побочных эффектов, особенно плохо обстоит дело с наблюдением за потенциально возможными долговременными побочными эффектами. Несмотря на то, что по большей части исследования лечения дисплазии, остеоартрозов и прочих заболеваний суставов с помощью гиалуроновой кислоты показывают успешные данные, ни одно на 2023 год исследование не является высококачественным и заслуживающим абсолютного доверия (и, кроме того, исследования могут быть сознательно ангажированными).
По данным систематического обзора и метаанализа, опубликованного в 2012 году в Annals of Internal Medicine, внутрисуставные инъекции гиалуроновой кислоты приносят небольшую, клинически несущественную пользу и обусловливают значительный риск потенциальных побочных эффектов[10]. Согласно кокрановскому обзору 2015 года, не существует качественных исследований эффективности гиалуроновой кислоты при остеоартрите голеностопного сустава: имеющиеся клинические испытания применения гиалуроновой кислоты при этом заболевании низкокачественные (с малым числом участников)[12]. В среднем испытуемые оценивали улучшение физического состояния и уменьшение боли как на 12% большее, чем при эффекте плацебо. В связи с этим «инъекции гиалуроновой кислоты могут быть условно рекомендованы после выявленной неудачи использования простых анальгетиков».
Исследования перорального использования гиалуроновой кислоты в качестве профилактики и лечения болезней суставов у человека и домашних животных на 2023 год ещё меньше по размеру выборки и качеству исследования (в отличие от больших исследований аналогов-гликозамингликанов: хондроитинсульфатов и глюкозамина сульфатов, по которым можно судить об их неэффективности, несмотря на десятилетия их традиционного использования)[13][14]
Также гиалуроновая кислота применяется в препаратах искусственной слезы[15].
Происхождение названия
Название «гиалуроновая кислота» этому веществу было дано в 1934 году Карлом Мейером (нем. Karl Meyer) и Дж. Палмером (J. W. Palmer), которые впервые выделили его из стекловидного тела глаза[16]. Название происходит от греч. hyalos — стекловидный и уроновая кислота.
Сопряжённое основание для гиалуроновой кислоты носит название гиалуронат. Поскольку молекула полимера в организме обычно существует в промежуточной полианионной форме, многие авторы считают более корректным использование термина гиалуронан.
См. также
Примечания
- 1 2 3 4 5 6 7 8 Капулер и др., 2015.
- ↑ Stern R. Hyaluronan catabolism: a new metabolic pathway (англ.) // European Journal of Cell Biology : journal. — 2004. — August (vol. 83, no. 7). — P. 317—325. — PMID 15503855.
- ↑ Holmes M W A., Bayliss M T., Muir H. Hyaluronic acid in human articular cartilage. Age-related changes in content and size (англ.) // Biochemical Journal : journal. — 1988. — Vol. 250. — P. 435—441. Бесплатная PDF-версия
- ↑ Saari H et al. (1993) Differential effects of reactive oxygen species on native synovial fluid and purified human umbilical cord hyaluronate. Inflammation 17:403-415.
- 1 2 Sze, Jun Hui; Brownlie, Jeremy C.; Love, Christopher A. (June 2016). Biotechnological production of hyaluronic acid: a mini review. 3 Biotech. 6 (1): 67. doi:10.1007/s13205-016-0379-9. ISSN 2190-572X. PMC 4754297. PMID 28330137.
- ↑ Itano, Naoki (2002). Abnormal accumulation of hyaluronan matrix diminishes contact inhibition of cell growth and promotes cell migration. Proceedings of the National Academy of Sciences. 99 (6). Proc Natl Acad Sci USA: 3609–3614. Bibcode:2002PNAS...99.3609I. doi:10.1073/pnas.052026799. PMC 122571. PMID 11891291.
- 1 2 3 4 Moreno-Camacho, Carlos A.; Montoya-Torres, Jairo R.; Jaegler, Anicia; Gondran, Natacha (10 сентября 2019). Sustainability metrics for real case applications of the supply chain network design problem: A systematic literature review. Journal of Cleaner Production (англ.). 231: 600–618. doi:10.1016/j.jclepro.2019.05.278. ISSN 0959-6526. S2CID 191866577.
- ↑ Олигосахариды и дендритные клетки. medgel.ru. Дата обращения: 24 ноября 2017.
- ↑ Hyaluronic acid for chronic wound healing (англ.). www.cochrane.org. Дата обращения: 14 сентября 2023. Архивировано 18 сентября 2023 года.
- 1 2 Rutjes A. W., Jüni P., da Costa B. R., Trelle S., Nüesch E., Reichenbach S. Viscosupplementation for osteoarthritis of the knee: a systematic review and meta-analysis. (англ.) // Annals Of Internal Medicine. — 2012. — 7 August (vol. 157, no. 3). — P. 180—191. — doi:10.7326/0003-4819-157-3-201208070-00473. — PMID 22868835.
- ↑ Devorah Heymann, Liat Vidal, Yuval Or, Zeev Shoham. Hyaluronic acid in embryo transfer media for assisted reproductive technologies // The Cochrane Database of Systematic Reviews. — 2020-09-02. — Т. 9, вып. 9. — С. CD007421. — ISSN 1469-493X. — doi:10.1002/14651858.CD007421.pub4. Архивировано 18 сентября 2023 года.
- ↑ Witteveen, A. G. H. Гиалуроновая кислота и другие варианты не-хирургического лечения остеоартрита голеностопного сустава : [арх. 21 апреля 2021] = Hyaluronic acid and other conservative treatment options for osteoarthritis of the ankle : [пер. с англ.] / A. G. H. Witteveen, C. J. Hofstad, G. M. M. J. Kerkhoffs // Cochrane Database of Systematic Reviews. — 2015. — No. 10. Art. No. CD010643 (17 октября). — doi:10.1002/14651858.CD010643.pub2.
- ↑ Jasvinder A Singh, Shahrzad Noorbaloochi, Roderick MacDonald, Lara J Maxwell. Chondroitin for osteoarthritis // The Cochrane Database of Systematic Reviews. — 2015-01-28. — Т. 2015, вып. 1. — С. CD005614. — ISSN 1469-493X. — doi:10.1002/14651858.CD005614.pub2. Архивировано 18 сентября 2023 года.
- ↑ Allen D Sawitzke, Helen Shi, Martha F Finco, Dorothy D Dunlop, Crystal L Harris, Nora G Singer, John D Bradley, David Silver, Christopher G Jackson, Nancy E Lane, Chester V Oddis, Fred Wolfe, Jeffrey Lisse, Daniel E Furst, Clifton O Bingham, Domenic J Reda, Roland W Moskowitz, H James Williams, Daniel O Clegg. Clinical efficacy and safety over two years use of glucosamine, chondroitin sulfate, their combination, celecoxib or placebo taken to treat osteoarthritis of the knee: a GAIT report // Annals of the rheumatic diseases. — 2010-8. — Т. 69, вып. 8. — С. 1459–1464. — ISSN 0003-4967. — doi:10.1136/ard.2009.120469. Архивировано 18 сентября 2023 года.
- ↑ Нагорский, П. Г. Профилактика и лечение синдрома «сухого глаза» у пользователей контактных линз : [арх. 12 сентября 2014] // Новое в офтальмологии : журн. — 2012. — № 3.
- ↑ K. Meyer and J. W. Palmer. The polysaccharide of the vitreous humor (англ.) // J. Biol. Chem. : journal. — 1934. — Vol. 107. — P. 629—634. Бесплатная PDF-версия Архивная копия от 27 декабря 2007 на Wayback Machine
Литература
- Patil, K. P., Kamalja, K. K., & Chaudhari, B. L. (2011). Optimization of medium components for hyaluronic acid production by Streptococcus zooepidemicus MTCC 3523 using a statistical approach. Carbohydrate Polymers, 86(4), 1573–1577. https://doi.org/10.1016/j.carbpol.2011.06.065
- Rampratap, P., Lasorsa, A., Perrone, B., van der Wel, P. C., & Walvoort, M. (2023). Production of isotopically enriched high molecular weight hyaluronic acid and characterization by solid-state NMR. bioRxiv, 2023-03. https://doi.org/10.1101/2023.03.16.532902
- Zhang, Z., Tian, X., Lu, J. Y., Boit, K., Ablaeva, J., Zakusilo, F. T., ... & Gorbunova, V. (2023). Increased hyaluronan by naked mole-rat HAS2 extends lifespan in mice. bioRxiv, 2023-05. https://doi.org/10.1101/2023.05.04.53940
- Galvez-Martin, P., Soto-Fernandez, C., Romero-Rueda, J., Cabañas, J., Torrent, A., Castells, G., & Martinez-Puig, D. (2023). A novel hyaluronic acid matrix ingredient with regenerative, anti-aging and antioxidant capacity. International journal of molecular sciences, 24(5), 4774. PMID 36902203 PMC 10002543 doi:10.3390/ijms24054774
- Galdi, F., Pedone, C., McGee, C. A., George, M., Rice, A. B., Hussain, S. S., ... & Garantziotis, S. (2021). Inhaled high molecular weight hyaluronan ameliorates respiratory failure in acute COPD exacerbation: a pilot study. Respiratory Research, 22(1), 1-11. PMID 33517896 PMC 7847749 doi:10.1186/s12931-020-01610-x
- Капулер, О. Гиалуронан: Свойства и биологическая роль : [англ.] / О. Капулер, А. Галеева, Б. Сельская … [et al.] // Врач : журн. — 2015. — № 2. — С. 25–27.

