Седогептулоза
| Седогептулоза | |
|---|---|
| |
| |
| Общие | |
| Систематическое наименование |
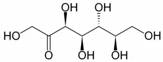
(3S,4R,5R,6R)-1,3,4,5,6,7-гексагидроксигептан-2-он (D-седогептулоза), (3R,4S,5S,6S)-1,3,4,5,6,7-гексагидроксигептан-2-он (L-седогептулоза) |
| Традиционные названия | седогептулоза, альтро-гептулоза |
| Хим. формула | C7H14O7 |
| Внешний вид | Белый аморфный порошок |
| Физические свойства | |
| Молярная масса | 210,18 г/моль |
| Классификация | |
| Рег. номер CAS | 3019-74-7 |
| PubChem | 5459879 |
| Рег. номер EINECS | 207-424-7 |
| SMILES | |
| InChI | |
| ChEBI | 16802 |
| ChemSpider | 4573620 |
| Безопасность | |
| NFPA 704 | |
| Приведены данные для стандартных условий (25 °C, 100 кПа), если не указано иное. | |
Седогептуло́за — природный моносахарид группы гептоз. В природе распространён в кетоформе, в виде D-энантиомера.
Свойства
Аморфное вещество, растворимое в воде. Удельное вращение от +2° до +3°.Не сбраживается дрожжами[1].
На хроматограммах, как и манногептулоза, при обработке бутанольным раствором орцина и трихлоруксусной кислоты и нагревании даёт синевато-зелёные пятна[2].
При нагревании с разведённой неорганической кислотой образует равновесную смесь 20 % сахара и 80 % кристаллического невосстанавливающего ангидрида — 2,7-ангидро-β-D-альтро-гептулопиранозы.
В щелочном растворе легко окисляется кислородом до D-альтроновой кислоты, кальциевая соль которой окисляется пероксидом водорода и ацетатом железа до D-рибозы. Может являться лабораторным источником получения D-рибозы и D-альтрозы.
При восстановлении образует многоатомный спирт волемит, обнаруженный в корнях некоторых растений и отдельных грибах.
Распространение
Впервые была обнаружена в очитке (Sedum spectabile) в 1917 г. В больших количествах содержится в растениях семейства толстянковые. В виде фосфата присутствует во всех зелёных растениях[3], а также в тканях животных, к примеру, в печени[2].
Получение
После выпаривания водного извлечения из листьев очитка до густого сиропа седогептулоза экстрагируется спиртом, который удаляют выпариванием. Водный раствор сиропа очищают ацетатом свинца, который потом удаляют осаждением с сероводородом[3].
В смеси с манногептулозой образуется при окислении волемита с участием бактерий рода Acetobacter.
Биологическое действие
Играет важную роль в процессе фотосинтеза и метаболизме углеводов в тканях животных. В виде фосфорнокислых эфиров — седогептулозо-7-фосфата и седогептулозо-1,7-дифосфата является звеном пентозофосфатного пути и восстановительного пентозофосфатного цикла (цикла Кальвина), участвует в образовании гексоз из более коротких углеводных фрагментов[4].
Примечания
- ↑ Кретович В. Л. Биохимия растений. — М.: Высшая школа, 1986. — 503 с.
- 1 2 Klevstrand R. Heptoses - from curiosities to biochemical importance - with some help from pharmacists // Revue d'histoire de la pharmacie. — 1996. — Т. 4, № 312. — С. 448—449. Архивировано 10 августа 2014 года.
- 1 2 Pigman W. The Carbohydrates: Chemistry And Biochemistry Physiology. — Elsevier, 1957. — 920 с. Архивировано 24 ноября 2016 года.
- ↑ Ленинджер А. Основы биохимии: В 3-х т.. — М.: Мир, 1985. — Т. 2. — 386 с.


