Азиридин
| Азиридин | |||
|---|---|---|---|
| |||
| Общие | |||
| Систематическое наименование |
Азиридин, этиленимин | ||
| Хим. формула | C2H5N | ||
| Физические свойства | |||
| Молярная масса | 43 г/моль | ||
| Плотность | 0.832 г/см³ | ||
| Энергия ионизации | 9,2 ± 0,1 эВ[1] и 9,2 эВ[2] | ||
| Термические свойства | |||
| Температура | |||
| • плавления | -74 °C | ||
| • кипения | 57 °C | ||
| • вспышки | -11 °C | ||
| Пределы взрываемости | 3,3 ± 0,1 об.%[1] | ||
| Энтальпия | |||
| • образования | 16.74 кДж/моль | ||
| Давление пара | 160 ± 1 мм рт.ст.[1] | ||
| Химические свойства | |||
| Константа диссоциации кислоты | 8,01[3] | ||
| Оптические свойства | |||
| Показатель преломления | 1.4123 | ||
| Структура | |||
| Дипольный момент | 1.73 D (в бензоле) | ||
| Классификация | |||
| Рег. номер CAS | 151-56-4 | ||
| PubChem | 9033 | ||
| Рег. номер EINECS | 205-793-9 | ||
| SMILES | |||
| InChI | |||
| RTECS | KX5075000 | ||
| ChEBI | 30969 | ||
| ChemSpider | 8682 | ||
| Безопасность | |||
| Токсичность | 14 мг/кг (крысы, перорально), 13 мг/кг (кролики, внутримышечно) | ||
| NFPA 704 | |||
| Приведены данные для стандартных условий (25 °C, 100 кПа), если не указано иное. | |||
Азиридин (азациклопропан, этиленимин) — азотсодержащее гетероциклическое соединение. Относится к циклическим аминам. Высокотоксичное вещество, обладающее ярко выраженным канцерогенным и мутагенным действием.
Свойства
Азиридин — бесцветная, токсичная, летучая жидкость с характерным запахом аминов[4]. Легко растворим в воде и большинстве органических растворителей.
Азиридин является высокореакционноспособным соединением. Он вступает в реакции как с раскрытием, так и с сохранением цикла.
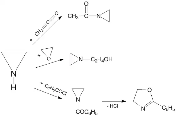
Реакции с сохранением цикла
К этим реакциям относятся в основном реакции образования координационных соединений с ионами металлов, а также реакции замещения водорода в N-H связи:

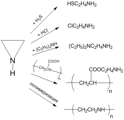
Реакции с раскрытием цикла
Реакции азиридина с рядом веществ, имеющих активный атом водорода, протекают по механизму протонирования атома азота молекулы азиридина и последующей нуклеофильной атаки на один из атомов углерода. При этом происходит реакция присоединения с раскрытием цикла. Реакция полимеризации азиридина до полиэтиленимина протекает по аналогичной схеме:

Получение
Азиридин в промышленных количествах получают по реакции циклизации этаноламина. Промежуточным продуктом является 2-аминоэтилсульфат:

Прямая конверсия этаноламина в присутствии ниобиевых катализаторов при 380oC также даёт азиридин:

Кроме того, для получения азиридина исходным сырьём служит 1,2-дихлорэтан:

Применение
Азиридин используется при получении полиэтиленимина, аминоэтилировании полимеров. Производные азиридина используются как сшивающие агенты в производстве полимеров.
Триэтиленмеламин, этиленфосфорамиды и некоторые другие производные этиленамина обладают способностью купировать митоз растительных и животных клеток[5].
Меры безопасности при работе с азиридином
Азиридин токсичен, легко проникает сквозь кожу, вызывает тяжёлые отравления, проявляет тератогенную, канцерогенную и мутагенную активность.
Ввиду токсичности, летучести и коррозионной активности азиридина должны быть приняты меры по его улавливанию (в промышленности — это скрубберы, орошаемые водным раствором тиосульфата аммония).
Примечания
- 1 2 3 http://www.cdc.gov/niosh/npg/npgd0274.html
- ↑ David R. Lide, Jr. Basic laboratory and industrial chemicals (англ.): A CRC quick reference handbook — CRC Press, 1993. — ISBN 978-0-8493-4498-5
- ↑ Weast R. C. CRC Handbook of Chemistry and Physics (1st student edition) (англ.) / R. C. Weast — 1 — CRC Press, 1988. — ISBN 978-0-8493-0740-9
- ↑ Steuerle, Ulrich; Feuerhake, Robert. Азиридины. Энциклопедия промышленной химии Ульмана. — Weinheim: Wiley-VCH., 2006.
- ↑ П.А.Гембицкий, Н.М.Лойм, Д.С.Жук. Этиленамин: синтез, строение, свойства.
Литература
- Триптофан-Ятрохимия // Химическая энциклопедия в 5 томах. — М.: Большая Российская Энциклопедия, 1998. — Т. 5. — 784 с.
.svg.png)


