Тетразол
| Тетразол | |
|---|---|
| |
| Общие | |
| Хим. формула | CH2N4 |
| Физические свойства | |
| Молярная масса | 70.05 г/моль |
| Классификация | |
| Рег. номер CAS | 288-94-8 |
| PubChem | 67519 |
| Рег. номер EINECS | 206-023-4 |
| SMILES | |
| InChI | |
| ChEBI | 33193 и 33194 |
| ChemSpider | 60842 |
| Приведены данные для стандартных условий (25 °C, 100 кПа), если не указано иное. | |
Тетразол — пятичленный ароматический гетероцикл с четырьмя атомами азота (CH2N4). Бесцветные листовидные кристаллы, растворимые в воде, ацетоне, этаноле.
Свойства и синтез
Проявляет амфотерные свойства, протонируясь по азоту N4 и отщепляя протон от атома N1 (рКа — 2,68). Образует аддукты с солями переходных металлов (AgNO3, HgCl2).
Впервые был синтезирован реакцией синильной кислоты с азотистоводородной кислотой в этаноле[1].
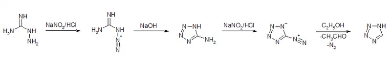
Препаративный метод синтеза тетразола — дезаминирование 5-аминотетразола, получаемого нитрозированием аминогуанидина с дальнейшей циклизацией образовавшегося азида, действием азотистой кислоты в спиртовом растворе[2][3]:
Применение
Производные тетразола используются как взрывчатые вещества (напр. комплексы 5-нитротетразола), лекарственные препараты (коразол).
Некоторые производные тетразола, например MTT, применяемый в биохимическом анализе (см. МТТ-тест).
5-аминотетразол применяется как компонент газогенератора в автомобильных подушках безопасности.
Литература
- «Химическая энциклопедия» т. 4 М.: Советская энциклопедия, 1995 стр. 554
- «Гетероциклические соединения», т. 8, под ред. Эльдерфилда Р., М.: Мир, 1969 стр. 8
Примечания
- ↑ Tetrazole synthesis. Дата обращения: 17 марта 2013. Архивировано 21 марта 2013 года.
- ↑ R.A. Henry, W.G. Finnegan: An Improved Procedure for the Deamination of 5-Aminotetrazole in J. Am. Chem. Soc. 76 (1954) 290–291, doi:10.1021/ja01630a086.
- ↑ F. Kurzer, L.E.A. Godfrey: Synthesen heterocyclischer Verbindungen aus Aminoguanidin in Angew. Chem. 75 (1963) 1157–1175, doi:10.1002/ange.19630752303.
