Пентафторфенол
| Пентафторфенол | |
|---|---|
| |
| Общие | |
| Систематическое наименование |
Пентафторфенол |
| Хим. формула | C6F5OH |
| Физические свойства | |
| Молярная масса | 184,07 г/моль |
| Плотность | 1,66098 г/см³ |
| Термические свойства | |
| Температура | |
| • плавления | 37,47 °C |
| • кипения | 145,62 °C |
| Энтальпия | |
| • образования | -1024,5 кДж/моль |
| Оптические свойства | |
| Показатель преломления | 1,4263 |
| Классификация | |
| Рег. номер CAS | 771-61-9 |
| PubChem | 13041 |
| Рег. номер EINECS | 212-235-8 |
| SMILES | |
| InChI | |
| ChemSpider | 12499 |
| Приведены данные для стандартных условий (25 °C, 100 кПа), если не указано иное. | |
Пентафторфенол — органическое соединение класса фенолов. Относится к перфторированным органическим соединениям.
Свойства
Чистый пентафторфенол представляет собой бесцветные гигроскопичные кристаллы (две кристаллические модификации) с запахом фенола. Хорошо растворяется в органических растворителях, умеренно растворим в воде.
Реагирует с щелочами с образованием солей:
Пентафторфеноляты вступают в реакции алкилирования, ацилирования и фосфорилирования с образованием соответствующих эфиров.
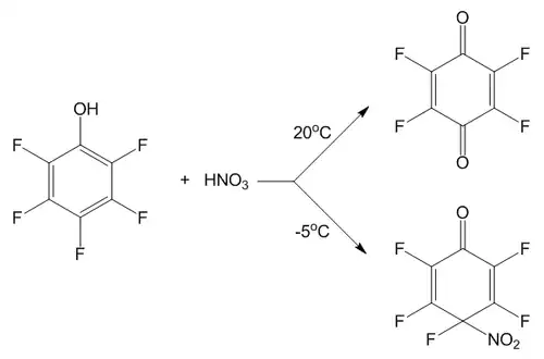
Может взаимодействовать с сильными электрофильными реагентами и окислителями:

С сильными основаниями реагирует в жёстких условиях, при этом образуются продукты замещения атома фтора в мета-положении.
У пентафторфенола выявлена бактерицидная и фунгицидная активность. Он раздражает кожу и слизистые оболочки, способен всасываться через кожу. Токсичен: ЛД50 = 283 мг/кг (мыши, подкожно), ПДК = 5,0 мг/м3
Получение и применение
Синтез пентафторфенола осуществляется реакцией гексафторбензола с водным раствором гидроксида калия при 150°С.
Пентафторфенол используется при получении вулканизирующихся фторэластомеров и в качестве реагента-активатора в получении пептидов.
Литература
- Химическая энциклопедия / Редкол.: Кнунянц И.Л. и др.. — М.: Советская энциклопедия, 1992. — Т. 3 (Мед-Пол). — 639 с. — ISBN 5-82270-039-8.
