Индикатор подлинного прогресса
Индикатор подлинного прогресса (англ. genuine progress indicator, GPI) — обобщённый показатель, заменяющий ВВП в качестве интегральной меры экономического прогресса. GPI, как и ВВП, имеет денежное выражение, но в отличие от ВВП, суммирующего свои составляющие, в основе GPI лежит идея разделения на категории выгод и издержек, а итоговый показатель определяется как разность между ними. GPI стал одной из немногих альтернатив ВВП, широко обсуждаемых в научном сообществе и применяемых правительствами и неправительственными организациями для более точной оценки устойчивого экономического благосостояния (Talberth и др., 2007)[1]. Динамика GPI в развитых странах в последние десятилетия является одним из главных аргументов, используемых сторонниками концепции «нерентабельного роста».
История
Первые попытки количественной оценки благосостояния на основе сравнения благ и издержек экономического роста были предприняты в 1960-х годах (Sametz, 1968). В работе Уильяма Нордхауса и Джеймса Тобина (1972)[2] был предложен индикатор экономического благополучия на основе коррекции ВВП для учёта обычно не принимаемых во внимание экономических и социальных факторов. Дальнейшим развитием этой идеи послужил индекс экономических аспектов благосостояния, включавший экологические аспекты и использование природных ресурсов (Zolotas, 1981)[3]. Оба последних индекса дали первые свидетельства расхождения между ВВП и реальным благосостоянием, количественно показав, что со временем всё большая доля экономической активности может становиться тщетной с точки зрения благополучия общества. Опираясь на работы предшественников, Герман Дэйли и Джон Босвелл Кобб (1989)[4] предложили индекс устойчивого экономического благосостояния (англ. ISEW) в качестве «способа оценки экономики, который даёт лучшие ориентиры для тех, кто заинтересован в увеличении экономического благосостояния»[5]. ISEW включал в себя серию поправок к ВВП, учитывающих социальные и экологические факторы, а также использование природных ресурсов. В 1995 году организация Redefining Progress[6] несколько усовершенствовала методологию ISEW и опубликовала результаты этой работы под новым названием «индикатор подлинного прогресса» (англ. genuine progress indicator).
Методы
Расчёт GPI, как и ВВП, начинается с персональных потребительских затрат. Они корректируются с учётом неравномерности распределения доходов, что отражает влияние социальной справедливости на благосостояние общества (равное по абсолютной величине приращение доходов имеет для бедных большее значение, чем для богатых). Далее к этой величине прибавляются (или отнимаются) денежные выражения различных аспектов экономической активности, затрагивающих общественное благосостояние. Они включают:
1. Позиции, которые засчитываются в ВВП в качестве доходов, но на деле являются издержками (например, денежные затраты на борьбу с загрязнением)
2. Позиции, которые игнорируются в ВВП, но тем не менее являются издержками (например, истощение невозобновляемых природных ресурсов)
3. Позиции, которые игнорируются в ВВП, но при этом являются доходами (например, ценность домашнего труда)
GPI делает наглядным тот факт, что само по себе количество экономической активности мало что значит для оценки её вклада в благосостояние без информации о её качестве (Venetoulis и Cobb, 2004).[7]
В упрощённой форме расчётная формула выглядит так:
GPI = A+B - C - D + I
A - потребительские затраты, скорректированные с учётом распределения доходов
B – ценность нерыночных услуг, увеличивающих благосостояние
C – индивидуальные затраты на защиту от ухудшения экологической обстановки
D – цена деградации природной среды и истощения невозобновляемых ресурсов
I – увеличение капитала и баланс международной торговли
| Компонент | Влияние на благосостояние | Описание | Метод подсчёта | |
|---|---|---|---|---|
| 1 | Индивидуальные потребительские расходы | + | Исходная величина для подсчёта GPI и база для оценки благосостояния связанного с потреблением товаров и услуг. | Доход на душу населения х коэффициент отношения потребительских расходов к доходам |
| 2 | Распределение доходов | + или - | Коэффициент Джини отражает разницу между реальным распределением доходов и равным распределением, он меняется от 0 (равное распределение) до 1 (одно домашнее хозяйство получает все доходы). | (Коэффициент Джини для данного года/самое низкое значение коэффициента Джини) х 100 |
| 3 | Потребление, скорректированное с учётом распределения доходов | + | Скорректированные индивидуальные потребительские расходы являются базовым значением, к которому прибавляют (или от которого отнимают) другие компоненты индекса. | (Строка 1/Строка 2)х100 |
| 4 | Стоимость домашнего труда | + | Домашний труд включает приготовление пищи, уборку, уход за детьми и т. д. | Количество часов работы х почасовая плата за наём работника для выполнения этой работы |
| 5 | Стоимость волонтёрского труда | + | Волонтёрский труд является важным вкладом в общественное благосостояние, он не включается в ВВП. | Количество часов волонтёрской работы х почасовая плата за наём работника для выполнения этой работы |
| 6 | Пользование домашним капиталом | + | В расчёт принимается стоимость службы бытового оборудования и товаров длительного пользования имеющихся в домашнем хозяйстве. | Цена имеющихся товаров длительного пользования х коэффициент амортизации 12,5% |
| 7 | Расходы на товары длительного пользования | - | Чтобы избежать двойного счёта, реальные затраты на товары длительного пользования вычитаются из GPI. | Доход на душу населения х процент затрат на товары длительного пользования |
| 8 | Пользование дорогами и улицами | + | Эта предоставляемая государством услуга теоретически может продаваться на рынке, но определение цены для индивидуального потребителя затруднительно Значение 7,5% подразумевает, что 10% стоимости дорог должно возмещаться ежегодно, и что 75% езды по ним совершается для удовольствия. | Цена имеющихся дорог х 7,5% |
| 9 | Суммарные инвестиции в капитал | + или - | Чтобы избежать потребления капитала в качестве дохода общество должно поддерживать и увеличивать инвестиции в капитал для удовлетворения потребностей населения. Целью данной категории является учёт изменений в накопленном капитале в расчёте на одного работника. | Из национальной статистики |
| 10 | Суммарные внешние долги/займы | + или - | Устойчивость экономики зависит от степени её зависимости от внешних источников финансирования для поддержания текущего потребления. | Из национальной статистики |
| 11 | Цена преступности | - | Преступность уменьшает общественное благосостояние как прямым (медицинские расходы плюс потеря собственности) так и непрямым образом (издержки на предотвращение преступлений) | Прямой ущерб от имущественных преступлений + расходы на предотвращение преступлений |
| 12 | Цена разводов | - | Разводы и излишнее время, проводимое перед телевизором, приводят к экономической нагрузке на общество, при этом они ведут к росту ВВП. | Прямой ущерб от разводов + социальная цена просмотра телепрограмм |
| 13 | Уменьшение досуга | - | GPI учитывает потерю свободного времени от сверхурочной работы. | Уровень занятости х утерянное время досуга х средняя почасовая оплата труда |
| 14 | Цена безработицы | - | Хронически безработные, прекратившие поиски работы и лица, принудительно работающие неполное время, снижают благосостояние общества, поскольку следствием безработицы являются преступления, психические расстройства и наркомания. | Число безработных х число непредоставленных рабочих часов х средняя почасовая оплата труда |
| 15 | Цена ежедневных поездок | - | Ежедневные поездки приводят к прямым денежным затратам на личный или общественный транспорт плюс непрямые издержки от потери времени, которое могло быть потрачено более полезным или приятным образом. | Цена автомобиля х процент использования его для ежедневных поездок + цена пользования общественным транспортом + стоимость времени на ежедневные поездки с использованием местной почасовой оплаты |
| 16 | Издержки домохозяйств на борьбу с загрязнением | - | Расходы на воздушные фильтры и удаление отходов не повышают благосостояние, а являются компенсацией экстернализации расходов на загрязнение в ходе экономической активности. Они являются попыткой восстановить базовый уровень экологических свойств повседневной среды обитания. | Цена фильтров и конвертеров + цена канализации + стоимость обращения с мусором |
| 17 | Цена дорожно-транспортных происшествий | - | GPI учитывает прямые издержки (потерю собственности и медицинские расходы) плюс непрямые издержки (потерю заработной платы). | Число аварий х цена одной аварии |
| 18 | Цена загрязнения воды | - | Ущерб качеству воды представляет собой прямую потерю для общественного благосостояния, он не учитывается в ВВП. Оценки занижены из-за недостатка данных по распределённым источникам загрязнения. | Процент ухудшения качества воды х выгода от пользования качественной водой |
| 19 | Цена загрязнения воздуха | - | Хотя ущерб качеству воздуха оказывает негативное влияние на домохозяйства, инфраструктуру, окружающую среду и здоровье населения, он игнорируется в ВВП. | Данные о загрязнении х цена за единицу загрязнения |
| 20 | Цена шумового загрязнения | - | Всемирная организация здравоохранения оценивает ущерб от шумового загрязнения. | Индекс урбанизации х цена шумового загрязнения по оценке ВОЗ |
| 21 | Потери водно-болотных угодий | - | Цена экосистемных сервисов, предоставляемых водно-болотных угодьями, не учитывается в ВВП. | Суммарные потери водно-болотных угодий х оценка стоимости за гектар |
| 22 | Потери сельскохозяйственных угодий | - | Урбанизация ведёт к утере сельскохозяйственных земель, что снижает устойчивость местного снабжения продуктами питания, подрывает исторические и эстетические ценности общества и приводит к утере мест обитания биологических видов. | Потери сельхозугодий х оценка стоимости за гектар |
| 23 | Истощение невозобновляемых ресурсов | - | Расходование невозобновляемых ресурсов делает невозможным пользование ими в будущем и является неустойчивым. GPI оценивает издержки как стоимость замены на возобновляемые ресурсы. | Потребление невозобновляемых ресурсов х цена замены на возобновляемые ресурсы |
| 24 | Долгосрочный экологический ущерб | - | В GPI издержки, связанные с долгосрочной деградацией окружающей среды, учитываются как последствия дестабилизации климата. | Потребление энергии х приращение социальных издержек эмиссии СО2 за данный год |
| 25 | Разрушение озонового слоя | - | Истощение озонового слоя в верхних слоях атмосферы угрожает благополучию всех обитателей планеты за счёт увеличения вредной радиации от Солнца. GPI оценивает ожидаемые экономические издержки этой долгосрочной экологической проблемы. | Эмиссия разрушающих озон веществ х цена за килограмм |
| 26 | Уменьшение лесного покрова | - | Утрата лесов означает потерю многих предоставляемых ими благ, включая предотвращение наводнений, улучшение качества воздуха и воды, поддержание биоразнообразия, лесные продукты, а также эстетические и рекреационные ценности. | Площадь утерянных лесов х цена за гектар |
Ограничения
Согласно мнению его сторонников, GPI является «более верным» ориентиром в оценке экономического прогресса по сравнению с ВВП, но он не претендует на совершенство. Индикатор, основанный на относительно небольшом наборе исходных составляющих, с неизбежностью остаётся лишь весьма обобщённым и «грубым», возможность его «тонкой настройки» ограничена в основном доступностью разных видов данных. Кроме того, многие издержки экономического процесса в принципе затруднительно выразить в денежной форме.
Распространение GPI также сдерживается сохраняющимися методическими различиями в подсчётах, выполняемых разными исследователями, например, различиями в учёте климатического воздействия как накапливающегося либо только как текущего фактора. Значительную проблему представляет также единообразие в задании исходных граничных условий подсчётов для обеспечения сопоставимости GPI разных стран и регионов.
По мнению некоторых авторов, негативным фактором также является отсутствие в GPI в его нынешнем виде количественной оценки неопределённостей. Вычисление доверительных интервалов в оценке значений индекса могло бы повысить его привлекательность для практического использования.[8]
GPI является по своей природе экономическим, а не экологическим показателем. Чтобы оценивать экологическую устойчивость, необходимо в дополнение к нему использовать биофизические индикаторы.[9]
GPI не основан на «сильной» формулировке понятия экологической устойчивости, согласно которой истощение природного капитала не может быть компенсировано ростом в других сферах. Он на равных правах включает в себя экономические, социальные и экологические компоненты, поэтому возможно истощать природный или социальный капитал, увеличивая доходы и потребление, и при этом получать рост GPI на душу населения. Этот набор условий известен в теории как ситуация «слабой устойчивости» (Neumayer, 1999), он наблюдается на практике в некоторых региональных калькуляциях GPI. И наоборот, динамика GPI обострённо реагирует на упадок городов, выражающийся в таких проблемах, как безработица, низкие доходы и высокая неравномерность их распределения, высокая преступность.[10]
Оценки GPI для различных стран и регионов
Перечень калькуляций национальных GPI для двадцати одной страны
| Исследование | Страна | Период |
|---|---|---|
| Hamilton, 1997 | Австралия | 1950-1996 |
| Hamilton, 1999 | Австралия | 1950-1996 |
| Hamilton и Dennis, 2000 | Австралия | 1950-2000 |
| Lawn, 2008 | Австралия | 1967-2006 |
| Stockhammer и др., 1997 | Австрия | 1955-1992 |
| Bleys, 2006 | Бельгия | 1970-2000 |
| Bleys, 2008 | Бельгия | 1970-2004 |
| Castaneda, 1999 | Чили | 1965-1995 |
| Wen и др., 2008 | Китай | 1970-2005 |
| Scasny, 2008 | Чехия | |
| Nourry, 2008 | Франция | 1990-2002 |
| Diefenbacher, 1994 | Германия | 1950-1990 |
| Lawn, 2008 | Индия | 1987-2003 |
| Guenno и Tiezzi, 1998 | Италия | 1960-1991 |
| Makino, 2008 | Япония | 1970-2003 |
| Rosenberg и Oegema, 1995 | Нидерланды | 1950-1992 |
| Bleys, 2007 | Нидерланды | 1971-2004 |
| Forgie и др., 2007 | Новая Зеландия | 1970-2005 |
| Forgie и др., 2008 | Новая Зеландия | 1970-2005 |
| Gil и Slezynski, 2003 | Польша | 1980-1997 |
| Moffatt и Wilson, 1994 | Шотландия | 1980-1991 |
| Hanley и др., 1999 | Шотландия | 1980-1993 |
| Jackson и Stymne, 1996 | Шотландия | 1970-2005 |
| Jackson и Stymne, 1996 | Швеция | 1950-1992 |
| Clarke и Islam, 2004 | Таиланд | 1975-1999 |
| Clarke and Shaw, 2008 | Таиланд | 1975-2004 |
| Jackson и др., 2002 | Великобритания | 1950-1996 |
| Jackson и Marks, 1994 | Великобритания | 1950-1990 |
| Jackson, 2004 | Великобритания | 1950-2002 |
| Anielski и Rowe, 1999 | США | 1950-1997 |
| Venetoulis и Cobb, 2004 | США | 1950-2002 |
| Talberth и др. 2007 | США | 1950-2004 |
| Hong и др. 2008 | Вьетнам | 1992-2004 |
| Midmore и др. 2000 | Уэльс | 1970-1996 |
| Matthews и др. 2003 | Уэльс | 1990-2000 |
| Jones и др. 2007 | Уэльс | 1990-2005 |
Перечень калькуляций региональных GPI для пятидесяти девяти регионов
| Исследование | Регион и страна | Период |
|---|---|---|
| Lawn и Clarke, 2008 | Штат Виктория, Австралия | 1986-2003 |
| Anielski и др., 2001 | Провинция Альберта, Канада | 1961-1999 |
| Gustavson и Lonergan, 1994 | Провинция Британская Колумбия, Канада | |
| Pannozzo и др., 2009 | Провинция Новая Шотландия, Канада | Примерно 1980-2005 |
| Wen и др., 2007 | Города Сучжоу, Янчжоу, Нинбо и Гуанчжоу, Китай | 1991-2001 |
| Jackson и др., 2008 | Все регионы Англии | 1994-2005 |
| Pulselli и др., 2006 | Провинция Сиена, Италия | 1999 |
| Pulselli и др., 2008 | Провинция Модена, Италия | 1971-2003 |
| Pulselli и др., 2008 | Провинция Римини, Италия | 1971-2003 |
| Bagstad и Ceroni, 2007 | 7 северо-восточных графств штата Вермонт, США | 1950-2000 |
| Bagstad и Shammin, 2012 | Города Акрон и Кливленд, 17 северо-восточных графств штата Огайо, США | 1950-2005 |
| Bay Area Genuine Progress Indicator Analysis, 2006 | г. Сан Франциско, 8 графств штата Калифорния, США | 2000 |
| Costanza и др., 2004 | г. Берлингтон, графство Читтенден, штат Вермонт, США | 1950-2000 |
| Environmental Quality Board, 2000 | Штат Миннесота, США | 1960-1995 |
| Готовится несколькими организациями | Штаты Мэриленд, Массачусетс, Мичиган и Юта, США |
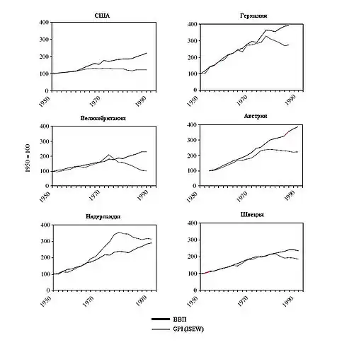
Динамика изменений GPI для шести стран

GPI в странах бывшего СССР
В Российском научном сообществе не уделяется существенного внимания использованию GPI применительно к экономике России. В научных публикациях встречаются лишь упоминания об этом индикаторе, или приводятся краткие справочные сведения о нём. Не сложилось даже общепринятого русскоязычного названия.

На Украине в 2009 году опубликована оценка национального GPI за 2006 год без изложения методики расчётов[11]. В 2010 году были выполнены расчёты GPI Украины за 2000—2007 годы по общепринятой методике[12]. При этом примерно половина составляющих GPI не включалась в результаты ввиду недостатка статистических данных.
Официальное применение
GPI официально используется в американском штате Мэриленд (на основании решения губернатора штата), штат Орегон разрабатывает десятилетний бюджетный план с использованием GPI[13].
Законодатели Вермонта (США) объявили в качестве официальной цели повышение GPI штата на 5% в течение 5 лет[14].
Критика
На протяжении истории существования GPI он критиковался с различных позиций.
Neumayer (1999) подверг сомнению концептуальную основу индикатора, по его мнению, некорректно смешиваются измерение текущего благосостояния и устойчивости, которые лучше рассматривать раздельно. Lawn (2005) защищал применяемый в GPI подход, показывая тесную связь многих аспектов текущего благосостояния с долговременной устойчивостью.
Другие критики указывали на противоречивый и произвольный, по их мнению, характер выбора методов денежной оценки ряда аспектов экономической активности, указывая, что субъективный выбор этих методов может частично объяснять расхождение динамики GPI и ВВП (Neumayer, 2000; Bleys, 2006). В ответ Lawn и др. (2009) описали теоретические основы наиболее спорных аспектов вычисления GPI, показывая, что принятые методы следуют общепризнанным различиям понятий дохода и капитала, как они были сформулированы в работе Фишера 1945 года. Защитники GPI обычно признают необходимость улучшения его методов за счёт совершенствования экспертных оценок и применения более детальной статистической базы.
Частым упрёком в адрес GPI является его «связь с субъективными ценностями». Его защитники в ответ обычно указывают на то, что, в конечном счёте, все индикаторы (включая ВВП) опираются на субъективный выбор в вопросе о том, какого рода информация заслуживает внимания и как именно её учесть. В процессе выбора мы с неизбежностью опираемся на наши ценности. По мнению его защитников, отличие GPI от других индикаторов состоит не в какой-либо его особенной «субъективности», а скорее в открытом изложении предпосылок и ценностей, на которых он основан.
Существует и критика GPI с антипотребительских позиций, в частности, подвергается сомнению выбор потребительских расходов в качестве базового компонента, что, по мнению критиков, является скрытым оправданием потребительства, то есть отождествления общественного блага с ростом материального потребления. Сторонники GPI отвечают, что ввиду трудностей количественного определения благополучия и удовлетворённости как психических феноменов, потребление можно признать приемлемой заменой благосостояния «в первом приближении».[15]
См. также
Примечания
- ↑ Отчёт The Genuine Progress Indicator 2006 Архивная копия от 23 июля 2018 на Wayback Machine (англ.)
- ↑ Архивированная копия. Дата обращения: 27 августа 2014. Архивировано 1 октября 2015 года.
- ↑ Zolotas, Xenophon. Economic Growth and Declining Social Welfare. New York: New York University Press, 1981.
- ↑ For the Common Good by Herman Daly & John Cobb Jr. - A Book Review by Scott London. Дата обращения: 27 августа 2014. Архивировано 20 декабря 2014 года.
- ↑ Daly, H. & Cobb, J., 1989. For the Common Good. Beacon Press, Boston.
- ↑ Redefining Progress (англ.)
- ↑ Архивированная копия. Дата обращения: 27 августа 2014. Архивировано из оригинала 1 октября 2015 года.
- ↑ Stephen M. Posner. Estimating The Genuine Progress Indicator (GPI) for Baltimore, MD Архивированная копия. Дата обращения: 27 августа 2014. Архивировано 5 марта 2016 года.
- ↑ P. Lawn. The failure of the ISEW and GPI to fully account for changes in human-health capital — A methodological shortcoming not a theoretical weakness Архивная копия от 10 ноября 2017 на Wayback Machine
- ↑ Kenneth J. Bagstad, Md Rumi Shammin Can the Genuine Progress Indicator better inform sustainable regional progress?—A case study for Northeast Ohio Архивная копия от 21 апреля 2016 на Wayback Machine
- ↑ Душна М. П. Методичні підходи до вимірювання суспільного прогресу в контексті сталого розвитку Архивная копия от 2 февраля 2017 на Wayback Machine // Науковий вісник НЛТУ України. 2009. Вип. 19.1.
- ↑ Данилишин Б. М., Веклич О. А. Индикатор подлинного прогресса как адекватный макроэкономический показатель общественного благосостояния Архивная копия от 18 января 2017 на Wayback Machine // Проблемы прогнозирования. — 2010. — № 6. — С.103-112.
- ↑ Implementing GPI in Vermont, Maryland and Oregon | Demos. Дата обращения: 27 августа 2014. Архивировано 19 августа 2014 года.
- ↑ Архивированная копия. Дата обращения: 27 августа 2014. Архивировано 19 августа 2014 года.
- ↑ Stephen M. Posner Estimating The Genuine Progress Indicator (GPI) p. 31
Ссылки
- Redefining Progress (англ.)
- Отчёт The Genuine Progress Indicator 2006 (англ.)
- Динамика ISEW и GPI на душу населения по отдельным странам (англ.)
- Данилишин Б., Веклич О. Индикатор подлинного прогресса как адекватный макроэкономический показатель общественного благосостояния // Проблемы прогнозирования. — 2010. — № 6. — С.103-112.