Диены

Бутадиен-1,3

Алкадие́ны (дие́ны, дие́новые углеводоро́дыдиолефи́ны) — ациклические непредельные углеводороды, содержащие две двойных связи углерод-углерод, образующие гомологический ряд с общей формулой CnH2n-2.[1][2]

Атомы углерода при двойных связях находятся в состоянии sp-гибридизации. Простейшим алкадиеном является пропадиен (C3H4), относящийся к кумулированным диенам.

По номенклатуре «IUPAC», названия алкадиенов образуются от названий соответствующих алканов заменой суффикса «-ан» на «-дие́н». Положение двойных связей указывается арабской цифрой.

Классификация

В зависимости от взаимного расположения кратных связей, диены подразделяются на три группы[1]:

1) Диены с алле́новыми (кумули́рованными) связями (1,2-диены): CH2=С=CH2;

2) Диены с сопряжёнными связями: двойные связи разделены одной одинарной связью (1,3-диены): СH2=CH−CH=CH2;

3) Диены с изоли́рованными связями: двойные связи разделены более, чем одной одинарной: CH2=CH−(CH2)n−CH=CH2, где n  1;

Гетероаналоги диенов, в которых один из ненасыщенных углеродных атомов замещён гетероатомом, называются гетеродиенами.[1]

Обычно к диенам относят ациклические и циклические 1,3-диены, образующие гомологические ряды общих формул и соответственно, ациклические диены являются структурными изомерами алкинов.

Гомологический ряд

Гомологический ряд алкадиенов:

Название диенаХимическая формула
ПропадиенC3H4
Бутадиен (дивинил)C4H6
Пентадиен-1,3 (пиперилен)C5H8
ГексадиенC6H10
ГептадиенC7H12
ОктадиенC8H14
НонадиенC9H16
ДекадиенC10H18

Физические свойства

Низшие диены — бесцветные легкокипящие жидкости (температура кипения изопрена 34 °C; температура кипения 2,3-диметил-1,3-бутадиена 68,78 °C; температура кипения 1,3-циклопентадиена 41,5 °C). 1,3-Бутадиен и аллен (1,2-пропадиен) — газы (Tкип −4,5 °C и −34 °C соответственно).

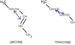
Сопряжённые диены существуют в виде двух конформаций — цисоидной (s-цис-форма) и трансоидной (s-транс-форма), способных переходить друг в друга, более устойчивой является s-транс-форма:

Химические свойства

Реакционная способность диенов определяется спецификой сопряжения двойных связей — если для диенов с изолированными двойными связями реакционная способность аналогична реакционной способности алкенов, то в случае алленов и 1,3-диенов эффекты сопряжения ведут к специфике реакционной способности этих классов соединений.

Реакции алленов

Центральный sp-гибридизованный атом углерода в алленах является электрофильным центром, поэтому, в отличие от не активированных электронакцепторными заместителями алкенов, аллены реагируют с мягкими нуклеофилами, образуя винильные и аллильные производные:

Электрофильность sp-гибридизованного атома алленов повышается электроноакцепторными группами, в этом случае присоединение нуклеофила идёт исключительно по этому атому:

Гидратации аллена в условиях кислотного катализа присоединение протона идёт по терминальному углероду, образующийся при этом енол далее таутомеризуется в ацетон:

Под действием щелочей или кислот аллены могут претерпевать прототропные перегруппировки в 1,3-диены:

Реакции 1,3-диенов

Специфика реакционной способности 1,3-диенов обусловлена мезомерией вследствие сопряжения двойных связей:

Результатом является то, что в случае электрофильного присоединения к сопряжённым диенам типичны реакции 1,4-присоединения, идущие через промежуточное образование резонансно стабилизированных аллильных карбокатионов:

,

где Х — это Hal, H, а Y — это Hal, OH

Сопряжённые диены легко полимеризуются по механизму 1,4-присоединения, реакция полимеризации 1,3-диенов лежат в основе синтеза диеновых каучуков.

Диены также реагируют с алкенами и другими соединениями — диенофилами с активированной электронакцепторными заместителями кратной связью, образуя продукты [4+2]-присоединения (реакция Дильса — Альдера)

Получение

Формально эту реакцию можно представить как дегидратацию двух молекул этилового спирта с одновременным межмолекулярным дегидрированием.

См. также

Примечания

  1. 1 2 3 The International Union of Pure and Applied Chemistry (IUPAC). Определение диенов по номенклатуре ИЮПАК. goldbook.iupac.org. Дата обращения: 26 марта 2023. Архивировано 29 марта 2023 года.
  2. Степаненко Б. Н. Органическая химия. — 4-е изд., перераб. М.: Медицина, 1970. — С. 44, 50—51. — 336 с.

Литература

  • Грандберг И.И., Нам Н.Л. Органическая химия. Учебник для СПО. — 8-е изд. — Москва: Юрайт, 2016. — 608 с. — ISBN 978-5-9916-6328-1.
  • Каминский В.А. Органическая химия. В 2 ч. Часть 1. — 2-е изд. — Москва: Юрайт, 2019. — 287 с. — ISBN 978-5-534-02906-2.