Глюконеогенез
Глюконеогене́з — метаболический путь, приводящий к образованию глюкозы из неуглеводных соединений (в частности, пирувата). Наряду с гликогенолизом, этот путь поддерживает в крови уровень глюкозы, необходимый для работы многих тканей и органов, в первую очередь, нервной ткани и эритроцитов. Он служит важным источником глюкозы в условиях недостаточного количества гликогена, например, после длительного голодания или тяжёлой физической работы[1][2]. Глюконеогенез является обязательной частью цикла Кори, кроме того, этот процесс может быть использован для превращения пирувата, образованного при дезаминировании аминокислот аланина и серина[3].
Суммарное уравнение глюконеогенеза выглядит следующим образом:
Глюконеогенез протекает в основном в печени, но менее интенсивно он протекает также в корковом веществе почек и слизистой кишечника[2].
Глюконеогенез и гликолиз регулируются реципрокно: если клетка снабжена энергией в достаточной степени, то гликолиз приостанавливается, и запускается глюконеогенез; напротив, при активизации гликолиза происходит приостановление глюконеогенеза[5].
Общий обзор
Глюконеогенез происходит у животных, растений, грибов и микроорганизмов. Его реакции одинаковы для всех тканей и биологических видов. Важными предшественниками глюкозы у животных выступают трёхуглеродные соединения, такие как лактат, пируват, глицерол, а также некоторые аминокислоты. У млекопитающих глюконеогенез происходит главным образом в печени, в меньшей степени — в корковом слое почек и эпителиальных клетках, выстилающих тонкую кишку. Образованная в ходе глюконеогенеза глюкоза уходит в кровь, откуда доставляется к другим тканям. После интенсивной физической работы лактат, образовавшийся при анаэробном гликолизе в скелетных мышцах, возвращается в печень и превращается там в глюкозу, которая снова поступает в мышцы или превращается в гликоген (этот круговорот известен как цикл Кори). У проростков растений запасённые в семени жиры и белки превращаются, в том числе и через глюконеогенез, в дисахарид сахарозу, который транспортируется по всему развивающемуся растению. Глюкоза и её производные служат предшественниками для синтеза растительной клеточной стенки, нуклеотидов, коферментов и многих других жизненно важных метаболитов. У многих микроорганизмов глюконеогенез начинается с простых органических соединений, содержащих два или три атома углерода, например, ацетата, лактата и пропионата, которые содержатся в питательной среде[1].
Хотя реакции глюконеогенеза одинаковы у всех организмов, соседние метаболические пути и регуляторные пути глюконеогенеза отличаются у различных видов и в различных тканях[1]. В этой статье рассмотрены особенности глюконеогенеза млекопитающих; о механизмах синтеза глюкозы растениями из первичных продуктов фотосинтеза см. Фотосинтез.
Глюконеогенез и гликолиз не являются полностью идентичными процессами, протекающими в противоположных направлениях, хотя несколько стадий являются общими для обоих процессов: 7 из 10 ферментативных реакций глюконеогенеза обратны соответствующим реакциям гликолиза. Однако 3 реакции гликолиза необратимы in vivo и не могут использоваться в глюконеогенезе: образование глюкозо-6-фосфата из глюкозы под действием фермента гексокиназы, фосфорилирование фруктозо-6-фосфата до фруктозо-1,6-бисфосфата фосфофруктокиназой-1 (PFK-1), а также превращение фосфоенолпирувата в пируват под действием пируваткиназы. В клеточных условиях эти реакции имеют большое отрицательное изменение энергии Гиббса, в то время как другие реакции гликолиза имеют ΔG около 0. При глюконеогенезе три необратимые стадии гликолиза заменены «обходными» реакциями, катализируемыми другими ферментами, и эти реакции также очень экзергоничны и потому необратимы. Таким образом, в клетках как гликолиз, так и глюконеогенез являются необратимыми процессами. У животных гликолиз происходит только в цитозоле, как и большая часть реакций глюконеогенеза, хотя некоторые его реакции происходят в митохондриях и эндоплазматическом ретикулуме[6]. Это даёт возможность для их координированной и взаимно обратной регуляции. Регуляторные механизмы, различающиеся у гликолиза и глюконеогенеза, действуют на ферментативные реакции, уникальные для каждого процесса[1].
Ниже представлена схема реакций глюконеогенеза:

Стадии
Ниже рассмотрены 3 стадии глюконеогенеза, отличные от реакций гликолиза, проведённых в обратном направлении.
Образование фосфоенолпирувата из пирувата

Первой реакцией глюконеогенеза является превращение пирувата в фосфоенолпируват (ФЕП). Эта реакция не может быть обратной пируваткиназной реакции гликолиза, поскольку пируваткиназная реакция имеет большое отрицательное изменение энергии Гиббса и потому необратима в клеточных условиях. Вместо этого фосфорилирование пирувата осуществляется «окольным путём», для реакций которого у эукариот необходимы и цитозольные, и митохондриальные ферменты[8].
Вначале пируват переносится из цитозоля в митохондрии или образуется в митохондриях из аланина путём трансаминирования, при котором α-аминогруппа переносится с аланина на α-кетокарбоновую кислоту. После этого митохондриальный фермент пируваткарбоксилаза, для активности которой необходим кофермент биотин, превращает пируват в оксалоацетат:
- Пируват + НСО3- + ATP → оксалоацетат + ADP + Pi[9].
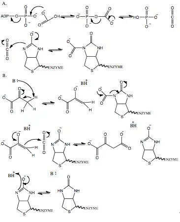
В этой реакции карбоксилирования участвует биотин как переносчик активированного бикарбоната. HCO3- фосфорилируется с затратой ATP с образованием смешанного ангидрида (карбоксифосфата). После этого на место фосфата в карбоксифосфате присоединяется биотин. Справа показан механизм этой реакции[7].
Пируваткарбоксилаза является первым регулируемым ферментом глюконеогенеза, её позитивным эффектором служит ацетил-КоА (ацетил-КоА образуется при β-окислении жирных кислот, повышение его концентрации сигнализирует о доступности жирных кислот как энергетического ресурса). Кроме того, пируваткарбоксилазная реакция поставляет промежуточные соединения в другой центральный метаболический путь — цикл трикарбоновых кислот[7].
Так как в митохондриальной мембране отсутствуют белки-переносчики оксалоацетата, до экспорта в цитозоль образовавшийся при пируваткарбоксилазной реакции оксалоацетат должен быть обратимо восстановлен в малат митохондриальным ферментом малатдегидрогеназой с затратой NADH:
- Оксалоацетат + NADH + H+ ⇌ L-малат + NAD+.
Стандартное изменение энергии Гиббса для этой реакции довольно велико, однако при физиологических условиях (среди которых и очень низкая концентрация оксалоацетата) её ΔG ≈ 0, поэтому эта реакция обратима. Митохондриальная малатдегидрогеназа участвует и в глюконеогенезе, и в цикле трикарбоновых кислот, осуществляя и прямую, и обратную реакции[10]. Оксалоацетат может также переноситься из митохондрии в цитозоль после трансаминирования в аспартат[6].
Малат покидает митохондрию через специальный белок-транспортер на внутренней митохондриальной мембране, и в цитозоле он вновь окисляется до оксалоацетата с образованием цитозольного NADH:
- Малат + NAD+ → оксалоацетат + NADH + H+[10].
После этого оксалоацетат превращается в фосфоенолпируват под действием фосфоенолпируваткарбоксикиназы. В этой Mg2+-зависимой реакции донором фосфорильной группы выступает GTP:
- Оксалоацетат + GTP ↔ Фосфоенолпируват + СО2 + GDP.
В клеточных условиях эта реакция обратима; образование фосфоенопирувата компенсируется гидролизом другого высокоэнергетичного фосфатсодержащего соединения — GTP[10].
Общее уравнение для двух первых «обходных» реакций гидролиза выглядит следующим образом:
- Пируват + ATP + GTP + HCO3- → Фосфоенолпируват + ADP + GDP + Pi + CO2; ΔG'o = 0,9 кДж/моль.
Два высокоэнергетичных фосфатных эквивалента (один от ATP и другой GTP), каждый из которых может дать 50 кДж/моль в клеточных условиях, затрачиваются для фосфорилирования одной молекулы пирувата с образованием фосфоенолпирувата. Однако в соответствующей реакции гликолиза (при образовании пирувата из ФЕП) образуется лишь одна молекула ATP из ADP. Хотя стандартное изменение энергии Гиббса ΔG'o в двухшаговом превращении пирувата в фосфоенолпируват равно 0,9 кДж/моль, реальное изменение энергии Гиббса (ΔG), посчитанное с учётом внутриклеточных концентраций соединений, имеет большое отрицательное значение (—25 кДж/моль). Причиной этого является быстрое использование фосфоенолпирувата в других реакциях, так что его концентрация остаётся относительно низкой. По этой причине образование ФЕП из пирувата под действием глюконеогенетических ферментов в клеточных условиях необратимо[10].
Тот же СО2, который присоединяется к пирувату в ходе пируваткарбоксилазной реакции, выделяется при фосфоенолпируваткарбоксикиназной реакции. Такое карбоксилирование-декарбоксилирование является путём «активации» пирувата, то есть декарбоксилирование оксалоацетата способствует образованию фосфоенолпирувата[10].
Отношение [NADH]/[NAD+] в цитозоле равно 8 × 104, что примерно в 105 раз меньше, чем в митохондриях. Поскольку цитозольный NADH используется в глюконеогенезе (при образовании глицеральдегид-3-фосфата из 1,3-бисфосфоглицерата), биосинтез глюкозы не может происходить, если нет доступного NADH. Транспорт малата из митохондрии в цитозоль и превращение его в оксалоацетат в цитозоле эффективно переносит восстановительные эквиваленты в цитозоль, где их недостаточно. Таким образом, такой путь от пирувата к ФЕП обеспечивает важный баланс между потребляемым и образуемым в цитозоле NADH в ходе глюконеогенеза[10].
Выше отмечалось, что, кроме пирувата, предшественником для глюконеогенеза также может выступать лактат. Этот путь обеспечивает использование лактата, образовавшегося, например, при гликолизе в эритроцитах или в мышцах при анаэробных условиях. Особенно этот путь важен для крупных позвоночных после тяжёлой физической работы. Преобразование лактата в пируват в цитозоле гепатоцитов приводит к образованию NADH, поэтому в экспорте восстановительных эквивалентов (например, малата) из митохондрий здесь нет нужды. После того как пируват, образовавшийся в лактатдегидрогеназной реакции, транспортируется в митохондрии, он превращается в оксалоацетат под действием пируваткарбоксилазы, как писалось выше. Этот оксалоацетат, однако, превращается непосредственно в фосфоенолпируват митохондриальным изоферментом фосфоенолпируваткарбоксикиназой, а ФЕП выводится из митохондрий в цитозоль, где осуществляются дальнейшие реакции глюконеогенеза[11].
У растений и некоторых бактерий было обнаружено два фермента, способных образовывать ФЕП непосредственно из пируватата. К их числу относится фосфоенолпируватсинтаза бактерии Escherichia coli. При работе этого фермента его остаток гистидина связывает пирофосфатную группу, взятую от ATP. Далее пирофосфатная группа гидролизуется с выделением фосфата и образованием соединения фермент-His-P. Последний взаимодействует с пируватом, образуя ФЕП. Похожий механизм присущ пируват-фосфатдикиназе, которая впервые была описана у тропических злаков и играет важную роль в С4-фотосинтезе, а также задействована в глюконеогенезе у Acetobacter. Отличие этого фермента от фосфоенолпируватсинтазы заключается лишь в том, что атакующей частицей является не вода, а неорганический фосфат[12].
Образование фруктозо-6-фосфата из фруктозо-1,6-бисфосфата
Второй реакцией гликолиза, которая не может дублироваться обратной реакцией в глюконеогенезе, является фосфорилирование фруктозо-6-фосфата фосфофруктокиназой-1. Так как эта реакция высоко экзергонична и поэтому необратима в клеточных условиях, образование фруктозо-6-фосфата из фруктозо-1,6-бисфосфата катализируется другим ферментом — Mg2+-зависимой фруктозо-1,6-бисфосфатазой-1 (FBPаза-1), которая катализирует необратимый гидролиз фосфата при первом атоме углерода (а не перенос фосфорильной группы на ADP):
- Фруктозо-1,6-бисфосфат + Н2О → фруктозо-6-фосфат + Pi, ΔG'o = −16,3 кДж/моль[4].
Кроме фруктозо-1,6-бисфосфатазы-1 существует фруктозо-1,6-бисфосфатаза-2, выполняющая регуляторные функции[4].
Образование глюкозы из глюкозо-6-фосфата
Третья «обходная» реакция является последней реакцией глюконеогенеза: дефосфорилирование глюкозо-6-фосфата с образованием глюкозы. Если бы гексокиназа осуществляла эту обратную реакцию, то ей бы сопутствовал перенос фосфорильной группы с глюкозо-6-фосфата на ADP с образованием ATP, что энергетически невыгодно. Реакция, катализируемая глюкозо-6-фосфатазой, не включает синтеза ATP и представляет собой простой гидролиз фосфатного эфира:
Этот Mg2+-зависимый фермент встречается на люменальной стороне эндоплазматического ретикулума гепатоцитов, в клетках почек и эпителиальных клетках тонкой кишки, однако в других тканях его нет, поэтому остальные ткани неспособны поставлять глюкозу в кровь. Если бы в них была глюкозо-6-фосфатаза, то она бы гидролизовала глюкозо-6-фосфат, который необходим этим тканям для гликолиза. Глюкоза, образовавшаяся в ходе глюконеогенеза в печени и почках или поглощённая с пищей разносится по кровотоку к этим тканям, в числе которых — мозг и мышцы[4].
Энергетика
Суммарное уравнение биосинтетических реакций глюконеогенеза, приводящих к образованию глюкозы из пирувата, выглядит так:
- 2 Пируват + 4ATP + 2GTP + 2NADH + 2H+ + 4H2O → глюкоза + 4ADP + 2GDP + 6Pi + 2NAD+.
На каждую молекулу глюкозы, образовавшуюся из пирувата, необходимо 6 высокоэнергетичных фосфатных групп, 4 из которых берутся от ATP и 2 — от GTP. Кроме того, для восстановления двух молекул 1,3-бисфосфоглицерата необходимы 2 молекулы NADH. В то же время для гликолиза нужны лишь 2 молекулы ATP. По этой причине синтез глюкозы из пирувата является затратным процессом. Большая часть затрачиваемой энергии обеспечивает необратимость глюконеогенеза. В клеточных условиях суммарное изменение энергии Гиббса при гликолизе составляет −63 кДж/моль, а при глюконеогенезе — −16 кДж/моль. Таким образом, в клеточных условиях и гликолиз, и глюконеогенез необратимы[13].
Другие предшественники глюкозы
Описанный выше биосинтетический путь образования глюкозы относится к синтезу глюкозы не только из пирувата, но также 4-, 5- и 6-углеродных промежуточных соединений цикла трикарбоновых кислот. Цитрат, изоцитрат, α-кетоглутарат, сукцинил-СоА, сукцинат, фумарат и малат — все промежуточные продукты цикла трикарбоновых кислот могут окисляться до оксалоацетата. Некоторые или все атомы углерода большей части аминокислот могут быть катаболизированы в пируват или промежуточные соединения цикла трикарбоновых кислот. Поэтому эти аминокислоты могут подвергнуться превращению в глюкозу и называются глюкогенными. Аланин и глутамин — важнейшие молекулы, переносящие аминогруппы в печень из других тканей — служат особенно важными глюкогенными аминокислотами у млекопитающих. После того, как эти аминокислоты отдают свои аминогруппы в митохондриях печени, их углеродные скелеты (пируват и α-кетоглутарат соответственно) вовлекаются в глюконеогенез[14]. Аминокислоты образуются при распаде белков мышц и соединительной ткани, их включение в глюконеогенез происходит при продолжительном голодании или длительной физической нагрузке[2].
У растений, дрожжей и многих бактерий имеется путь, позволяющий получать углеводы из жирных кислот — глиоксилатный цикл. У животных ключевых ферментов этого цикла нет, и, ввиду необратимости пируватдегидрогеназной реакции, они не могут получать пируват из ацетил-КоА, а значит, образовывать углеводы из жирных кислот (следовательно, и из липидов). Тем не менее, они могут использовать для глюконеогенеза те небольшие количества глицерола, который образуется при распаде жиров. При этом глицерол фосфорилируется глицеролкиназой, далее следует окисление центрального атома углерода с образованием дигидроксиацетонфосфата, который является промежуточным соединением глюконеогенеза[14].
Глицеролфосфат является необходимым промежуточным соединением при синтезе жиров (триглицеридов) в адипоцитах, однако эти клетки лишены глицеролкиназы и поэтому не могут осуществлять фосфорилирование глицерола. Вместо этого адипоциты могут осуществлять сокращённый вариант глюконеогенеза, известный как глицеронеогенез: преобразование пирувата в дигидроксиацетонфосфат через первые реакции глюконеогенеза, вслед за которым следует восстановление дигидроксиацетонфосфата до глицеролфосфата[14].
Регуляция
Если бы гликолиз и глюконеогенез протекали одновременно и на большой скорости, то результатом стали бы расход ATP и образование тепла. Например, фосфофруктокиназа-1 и фруктозо-1,6-бисфосфатаза-1 катализируют противоположные реакции:
- ATP + фруктозо-6-фосфат → ADP + фруктозо-1,6-бисфосфат (PFK-1)
- Фруктозо-1,6-бисфосфат + H2O → фруктозо-6-фосфат + Pi (FBPаза-1).
Суммой этих двух реакций является
- ATP + H2O → ADP + Pi + теплота.
Эти две ферментативные реакции, как и ряд других реакций этих двух путей, регулируются аллостерически и ковалентных модификаций. Гликолиз и глюконеогенез регулируются реципрокно, то есть если поток глюкозы, проходящей через гликолиз, растёт, то поток пирувата, проходящего через глюконеогенез, спадает, и наоборот[5]. Например, FBPаза-1 строго подавляется аллостерическим связыванием AMP, так что когда клеточные запасы ATP невелики, а уровень AMP высок, ATP-зависимый синтез глюкозы приостанавливается, а катализирующая соответствующую реакцию гликолиза PFK-1, наоборот, активируется AMP[15]. Хотя PFK-1 активируется фруктозо-2,6-бисфосфатом, на FBPазу-1 это соединение имеет противоположный эффект: он снижает его сродство к субстратам и тем самым замедляет глюконеогенез[16].
Транскрипционные факторы и глюконеогенез
На пути преобразования пирувата в глюкозу первой контрольной точкой, на которой определяется дальнейшая судьба пирувата в митохондрии, является то, будет ли он превращён в ацетил-КоА пируватдегидрогеназным комплексом с дальнейшим вовлечением в цикл трикарбоновых кислот или же в оксалоацетат под действием пируваткарбоксилазы, чтобы начать глюконеогенез. Когда в качестве источника энергии доступны жирные кислоты, то при их разложении в митохондриях образуется ацетил-КоА, выступающий в качестве сигнала о том, что в дальнейшем окислении глюкозы нет нужды. ацетил-КоА являются положительным аллостерическим модулятором пируваткарбоксилазы и отрицательным модулятором пируватдегидрогеназного комплекса; его действие опосредуется стимуляцией протеинкиназы, которая инактивирует дегидрогеназу. Когда энергетические потребности клетки удовлетворены, окислительное фосфорилирование замедляется, концентрация NADH по сравнению с NAD+ увеличивается, цикл трикарбоновых кислот подавляется, и происходит накопление ацетил-КоА. Повышенная концентрация ацетил-КоА подавляет пируватдегидрогеназный комплекс, тем самым замедляя образование ацетил-КоА из пирувата и стимулируя глюконеогенез через активацию пируваткарбоксилазы, что позволяет превратить излишек пирувата в оксалоацетат (а впоследствии и глюкозу)[17].
Полученный таким образом оксалоацетат превращается в фосфоенолпируват под действием фосфоенолпируваткарбоксикиназы. У млекопитающих регуляция этого важнейшего фермента глюконеогенеза осуществляется на уровне его синтеза и распада под влиянием режима питания и гормональных сигналов. Так, его промотор имеет 15 или более регуляторных элементов, распознаваемых по крайней мере 12-ю известных транскрипционных факторов, и, как предполагается, ещё большим числом пока не описанных. Голодание или высокий уровень глюкагона увеличивают транскрипцию этого фермента и стабилизируют его мРНК. Действие глюкагона опосредовано транскрипционным фактором CREB (англ. cyclic AMP response element binding protein), который активирует синтез глюкозо-6-фосфатазы и фосфоенолпируваткарбоксилазы в ответ на вызванное глюкагоном увеличение внутриклеточной концентрации cAMP. Инсулин или высокое содержание глюкозы в крови имеют противоположный эффект. Эти изменения, вызываемые в основном внеклеточными сигналами (питание, гормоны), могут длиться от нескольких минут до нескольких часов[17]. Инсулин также замедляет экспрессию генов глюкозо-6-фосфатазы и фруктозо-1,6-бисфосфатазы. Другим транскрипционным фактором, регулирующим экспрессию генов ферментов глюконеогенеза, является FOXO1 (англ. forkhead box other). Инсулин активирует протеинкиназу В, которая фосфорилирует FOXO1, находящийся в цитозоле. С фосфорилированным FOXO1 связывается убиквитин, и FOXO1 разрушается в протеасоме, однако в отсутствие фосфорилирования или при дефосфорилировании FOXO1 может проникать в ядро, связываться с соответствующим регуляторным элементом на ДНК и запускать транскрипцию генов фосфоенолпируваткарбоксикиназы и глюкозо-6-фосфатазы. Фосфорилированию FOXO1 протеинкиназой В препятствует глюкагон[18].
Клиническое значение
При снижении использования лактата в качестве субстрата для глюконеогенеза, которое может вызываться дефектом ферментов глюконеогенеза, концентрация лактата в крови повышается, что приводит к понижению pH крови и развитию лактатацидоза. Кратковременный лактатацидоз встречается и у здоровых людей при интенсивной мышечной работе, в этом случае он компенсируется путём гипервентиляции лёгких и ускоренным выведением углекислого газа[19].
На глюконеогенез существенное влияние оказывает этанол. В результате его катаболизма увеличивается количество NADH, что смещает равновесие в лактатдегидрогеназной реакции в сторону образования лактата, снижению образования пирувата и замедлению глюконеогенеза[19].
Примечания
- 1 2 3 4 Nelson, Cox, 2008, p. 552.
- 1 2 3 Северин, 2011, с. 284.
- ↑ Metzler, 2003, p. 989.
- 1 2 3 4 5 Nelson, Cox, 2008, p. 556.
- 1 2 Nelson, Cox, 2008, p. 557—558.
- 1 2 Кольман, Рём, 2012, с. 156.
- 1 2 3 Nelson, Cox, 2008, p. 554.
- ↑ Nelson, Cox, 2008, p. 553.
- ↑ Nelson, Cox, 2008, p. 553—554.
- 1 2 3 4 5 6 Nelson, Cox, 2008, p. 555.
- ↑ Nelson, Cox, 2008, p. 555—556.
- ↑ Metzler, 2003, p. 990.
- ↑ Nelson, Cox, 2008, p. 556—557.
- 1 2 3 Nelson, Cox, 2008, p. 557.
- ↑ Nelson, Cox, 2008, p. 586.
- ↑ Nelson, Cox, 2008, p. 587—588.
- 1 2 Nelson, Cox, 2008, p. 590.
- ↑ Nelson, Cox, 2008, p. 590—592.
- 1 2 Северин, 2011, с. 287.
Литература
- David E. Metzler. Biochemistry: The Chemical Reactions of Living Cells.. — 2nd edition. — Academic Press, 2003. — Т. 2. — 1973 с. — ISBN 978-0-1249-2541-0.
- David L. Nelson, Michael M. Cox. Lehninger Principles of biochemistry. — Fifth edition. — New York: W. H. Freeman and company, 2008. — 1158 p. — ISBN 978-0-7167-7108-1.
- Кольман Я., Рём К.—Г. Наглядная биохимия. — 4-е изд.. — М.: БИНОМ. Лаборатория знаний, 2012. — 469 с. — ISBN 978-5-9963-0620-6.
- Биологическая химия с упражнениями и задачами / Под ред. С. Е. Северина. — М.: Издательская группа «ГЭОТАР-Медиа», 2011. — 624 с.