Светляки
| Светляки | ||||||||||||
|---|---|---|---|---|---|---|---|---|---|---|---|---|
![]() | ||||||||||||
| Научная классификация | ||||||||||||
|
Домен: Царство: Подцарство: Без ранга: Без ранга: Без ранга: Без ранга: Тип: Подтип: Надкласс: Класс: Подкласс: Инфракласс: Надотряд: Отряд: Подотряд: Инфраотряд: Надсемейство: Семейство: Светляки |
||||||||||||
| Международное научное название | ||||||||||||
| Lampyridae Latreille, 1817 | ||||||||||||
| Подсемейства | ||||||||||||
и другие
|
||||||||||||
| ||||||||||||
Светляки́ (лат. Lampyridae) — семейство жуков, характерной особенностью которых является наличие специальных органов свечения[1] — лантернов. Лантерны располагаются на последних брюшных сегментах, чаще всего под прозрачной кутикулой, и образованы крупными фотогенными клетками, которые обильно оплетены трахеями и нервами[1]. Под этими клетками находятся отражатели света — клетки, заполненные кристаллами мочевой кислоты. По трахеям к фотогенным клеткам поступает кислород, необходимый для происходящих здесь окислительных процессов. Порой способностью светиться обладают не только имаго жуков, но и их личинки и яйца. Личинки питаются слизнями и другими наземными гастроподами.
Представители семейства — наземные жуки, ведущие ночной образ жизни. Покровы тела мягкие или умеренно склеротизированные, верхняя сторона тела заметно уплощена. Половой диморфизм значительно выражен: у самок часто отсутствуют крылья и надкрылья, что делает их похожими на личинок. Личинки камподеовидного типа, ведут наземный или водный образ жизни. Жуки имеют редуцированный ротовой аппарат и не питаются, живя за счёт запаса питательных веществ, накопленных на личиночной стадии. Личинки же являются хищниками, питаются моллюсками и прячутся в их раковинах.
Семейство насчитывает около 2200 видов[2]. Наиболее разнообразно представлено в тропиках и субтропиках, скудно — в умеренном поясе. На территории стран бывшего СССР обитает 7 родов и около 20 видов. В России — 15 видов.
Общая характеристика
Семейство включает наземных жуков, ведущих ночной образ жизни. Голова небольшая, с крупными глазами. Усики 11-члениковые, короткие или умеренной длины, прикреплены на лбу, их форма варьирует от нитевидных до пиловидных и гребенчатых. Верхняя губа развитая. Покровы тела жуков данного семейства мягкие или умеренно склеротизированные. Верх тела заметно уплощён, переднеспинка частично или полностью прикрывает голову. Надкрылья в пунктировке, часто со следами рёбер. Средние тазики сдвинуты, соприкасаются. Крылья с выраженной анальной ячейкой. Жуки обычно имеют редуцированный ротовой аппарат и не питаются. Половой диморфизм часто выраженный значительный и преимущественно проявляется в редукции надкрыльев и крыльев у самок, из-за чего они внешне очень похожи на личинок.
Личинки камподеовидного типа, прямые, несколько уплощённые в дорсовентральном направлении, преимущественно тёмно окрашенные[3]. Переднегрудь крупнее средне- и заднегруди. Голова большей своей частью втянута в неё. Прослеживается тенденция к образованию плоских боковых выростов на тергитах: личинки представителей родов Lampyris и Luciola бока тергитов брюшных сегментов несколько вытянуты в сторону и назад. Голова у личинок очень маленькая, преимущественно удлинённая, у личинок рода Lampyris почти квадратная. Головные швы хорошо развитые. Верхняя губа отсутствует. Мандибулы серповидные, с внутренним сосательным каналом, сильно склеротизированные. Сложные глаза отсутствуют[3]. По бокам головы имеются крупные светлые простые глазки. Усики трёхчлениковые. Третий членик очень маленький, располагается на плоской площадке у вершины второго членика рядом с чувствующим придатком, как у представителей семейства мягкотелок[3].
Личинки наземные или водные. Водные личинки обладают боковыми брюшными жабрами, разделёнными на 2 ветви. Личинки питаются мелкими беспозвоночными, преимущественно наземными моллюсками, в раковинах которых часто укрываются сами.
Свечение



Общие принципы коммуникации
Свечение у светляков служит для коммуникации между особями[4]. У представителей данного семейства выделяют практически все сигналы, которые так или иначе связаны с половым поведением, защитные и территориальные сигналы: будь то призывные и поисковые сигналы самцов, сигналы «согласия», «отказа» и «посткопулятивные» сигналы самок, а также сигналы агрессии и даже световую мимикрию. Однако, не каждый вид имеет весь спектр вышеперечисленных сигналов. Некоторые виды, например, Lampyris noctiluca, способны испускать только призывные сигналы, а у большинства представителей родов Photinus и Photuris различия между призывными и поисковыми сигналами у самцов отсутствуют. При этом только у самок рода Photuris наблюдается явление световой мимикрии, при которой самки испускают сигналы характерные для видов рода Photinus. Самцы Photinus, привлечённые подобными сигналами, становятся добычей для хищных самок рода Photuris[5][6][7].
В световой коммуникации светляков выделяют две базовые коммуникативные системы[8][9]. При первом типе системы особи одного пола (преимущественно это нелетающие самки) производят видоспецифичные коммуникативные сигналы, привлекающие особей противоположного пола, и выполняющие тем самым функцию «маяка». Такой тип системы характерен для светляков родов Lampyris, Phengodes, Diplocadon, Dioptoma, Pyrophorus и многих других. При этом наличие собственных световых сигналов у летающих особей противоположного пола является необязательным.
При системе второго типа летающие особи одного пола (преимущественно это самцы) производят видоспецифичные световые сигналы, в ответ на которые особи другого пола производят видоспецифичные или полоспецифичные ответы. Подобный тип коммуникативной системы встречается у многих видов светляков, в основном у подсемейств Lampyrinae и Photurinae, обитающих на территории Северной и Южной Америки[4].
Существуют также виды с промежуточными формами коммуникативных систем. У светляка Phausis reticulata и самцы, и самки испускают долговременное свечение, а в случае опасности самки способны прекращать свечение[5]. У вида Dioptoma adamsi нелетающие самки привлекают неиспускающих световые сигналы самцов длительным свечением. Однако самцы этого вида при сексуальном возбуждении испускают вспышки зелёного света[10]. У некоторых синхронизирующихся видов из рода Pteroptix присутствуют обе коммуникативные системы, которые используются жуками при различных условиях. Синхронные вспышки больших количеств особей для сбора их в стаи, внутри которых используется обмен коммуникативными сигналами между самцами и самками[11][12]. Сходное поведение отмечается также у видов Luciola discicollis и Luciola obsolenta[13].
Органы свечения

Органы свечения светляков (лантерны) представлены одним крупным световым органом на последних абдоминальных стернитах либо множеством мелких световых органов, которые расположены более-менее равномерно по всему телу. Форма, расположение и количество световых органов у различных видов светляков сильно варьирует. Например, у представителей рода Phengodes, Diplocladon, Harmatelia и ряда других тропических видов мелкие световые органы находятся на дорсальной стороне каждого из абдоминальных стернитов. У европейских, африканских, американских, азиатских и дальневосточных видов светляков обычно имеется один крупный орган свечения, расположенный на вентральной стороне двух последних абдоминальных стернитов.
Личинки преобладающего большинства видов также имеют на своём теле парные или множественные мелкие органы свечения.
Морфологическое и гистологическое строение
Выделяют шесть типов морфологического строения органов свечения[14]. Первые три типа строения светового органа характеризуются отсутствием между трахеями и фотоцитами т. н. концевых клеток. Они являются специфичными для фотогенной ткани и не встречаются в других органах[15][16][17][18]
- Первый тип. К нему относятся органы светляков только из рода Phengodes, свет у которых испускается гигантскими клетками, сходными по своей морфологии с эноцитами жирового тела. Фотогенные клетки при этом не связаны с трахеями[19]. С вентральной стороны лантерн покрыт прозрачной кутикулой, за которой располагаются два — три слоя, образованные фотогенными клетками.
- Второй тип. Встречается у светляков рода Phrixotrix и самок Lamprohisa splendidula[20] и личинок Phausis delarouseei[21]. Световые органы данного типа являются небольшими, шарообразными и прилегают к прозрачной кутикуле. Компактная масса фотогенной ткани пронизана специфическими трахеолами, которые ветвятся наподобие корневой системы.
- Третий тип сходен по строению со вторым типом и характеризуется наличием особого слоя колончатых клеток, не способных сами по себе испускать свет, однако в цитоплазме которых содержится большое количество кристаллов мочевины. Они обладают высокой отражающей способностью. Данная ткань называется «рефлекторным слоем». Трахеолы проходят данный слой и ветвятся внутри «фотогенного слоя». Данный тип строения характерен для личинок большинства видов светляков и некоторых имаго[22][23][24].
- Четвёртый тип характеризуется ветвлением трахей на границе «фотогенного» и «рефлекторного» слоев. Концевые клетки располагаются на конце горизонтальных веточек трахеи, образуя отростки в дорсовентральном направлении. Этот отмечен у некоторых видов Photuris (Photuris pennsylvanica, Photuris jamaisensis).
- Пятый тип описан у некоторых видов, обитающих в Японии (Luciola parva, Luciola vitticollis), Юго-Восточной Азии (Pyrocoelia rufa, Luciola cruciata) и Африке (Luciola africana)[23][25][26]. Особенностью строения является наличие ветвления трахеи внутри «фотогенного слоя» и преимущественно горизонтальное расположение отростков концевых клеток.
- Шестой тип является наиболее широко распространённым и наиболее сложно организованным. Встречается у большинства американских видов родов Photinus и Photuris[27][28], Luciola parvula[29], Luciola lusitanica[30] и многих других видов. Лантерны этого типа характеризуются большими размерами и расположением на вентральной стороне 6-го и 7-го стернитов брюшка у самцов и 6-го стернита у самок.
Механизмы, лежащие в основе свечения

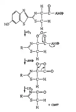
В реакции свечения участвуют несколько химических соединений. Одно из них устойчиво к нагреванию и присутствует в небольшом количестве — люциферин. Другое вещество — фермент люцифераза. Также для реакции свечения необходима ещё и аденозинтрифосфорная кислота (АТФ). Люцифераза представляет собой белок, богатый сульфгидрильными группами.
Свет образуется при окислении люциферина. Без люциферазы скорость реакции между люциферином и кислородом крайне низкая, катализация люциферазой значительно повышает её скорость. В качестве кофактора требуется АТФ.[31]
Реакция, катализируемая люциферазой светлячка, проходит в две стадии:
Свет возникает при переходе оксилюциферина из возбуждённого состояния в основное. При этом оксилюциферин связан с молекулой фермента и в зависимости от гидрофобности микроокружения возбуждённого оксилюциферина испускаемый свет варьирует у различных видов светлячков от жёлто-зелёного (при более гидрофобном микроокружении) до красного (при менее гидрофобном). Дело в том, что при более полярном микроокружении часть энергии рассеивается. Люциферазы из различных светляков генерируют биолюминесценцию с максимумами от 548 до 620 нм. В целом энергетическая эффективность реакции очень высокая: практически вся энергия реакции трансформируется в свет без испускания тепла.
Все жуки содержат один и тот же люциферин. Люциферазы, напротив, у разных видов различны. Отсюда следует, что изменение окраски свечения зависит от строения фермента. Как показали исследования, температура и pH среды оказывают существенное влияние на окраску свечения. На микроскопическом уровне свечение свойственно только цитоплазме клеток, ядро при этом остается тёмным. Свечение испускается находящимися в цитоплазме фотогенными гранулами. При исследовании в ультрафиолетовых лучах свежих срезов фотогенных клеток эти гранулы можно обнаружить по их другому свойству — флуоресценции,— зависящему от наличия люциферина.
Квантовый выход реакции по сравнению с классическими примерами люминесценции необычайно высок, приближается к единице. Иными словами, на каждую молекулу люциферина, участвующую в реакции, испускается один квант света.
Параметры испускаемого свечения

Физические характеристики испускаемого жуками света тщательно изучены у очень многих видов. Это всегда монохроматическое, неполяризованное излучение. Оно не сопровождается повышением температуры. Обычно каждый вид излучает свечение одного, строго определённого цвета, но известны жуки, у которых свечение самцов и самок имеет разную окраску.
Принято выделять четыре основных типа световых сигналов, которые характерны для различных представителей семейства светляков[14]:
- Непрерывное свечение. Неуправляемая биолюминесценция, характерная для яиц практически всех видов светляков. Этот тип световых сигналов также характерен только для имаго жуков рода Phengodes. Для этого типа свечения факторы внешней среды и внутреннего состояния организма не оказывают влияния на яркость свечения.
- Прерывающееся свечение. При данном типе свечения жуки длительное время испускают свет, яркость которого может изменяться от полного прекращения свечения до максимальной яркости в зависимости от факторов внешней среды, циркадных ритмов, внутреннего состояния насекомого. Данный тип свечения характерен для личинок большинства видов и взрослых особей из родов Phryxotrix, Diplocladon, Lampyris, Lamprohisa, Dioptoma, Phausis и других.
- Пульсация. Данный тип сигналов представлен короткими вспышками света, которые испускаются светляками с регулярными интервалами. Такой тип сигналов преобладает у синхронизирующихся тропических видов родов Pteroptix и Luciola[32].
- Вспышки. Наиболее часто встречающийся вид световых сигналов, наблюдаемый у большинства европейских, американских (Photinus, Photuris), азиатских, африканских светляков — род Luciola, Robopus, Pleotomus и др. В отличие от предыдущего типа, на периодичность межвспышечных интервалов оказывают значительное влияние не только циркадные ритмы, которые «включают» или «выключают» световой сигнал, но также и другие внешние и внутренние факторы, вызывающие модулирование длительности межвспышечного интервала, показатели яркости свечения, величины задержки ответа и прочие параметры светового сигнала.
Многие виды светляков столь хорошо регулируют процессы свечения, что способны уменьшать и увеличивать силу света или испускать прерывистый свет. Некоторые тропические светляки замечательны тем, что все их особи, слетевшиеся вместе, вспыхивают и гаснут одновременно.
Коэффициент полезного действия фонариков светлячков необыкновенно высок. Если в лампе накаливания в видимый свет превращается лишь 5 % энергии (остальная рассеивается в виде тепла), то у светлячков в световые лучи переходит от 87 до 98 % энергии.
Размножение
После спаривания самка откладывает яйца, из которых выходят активно питающиеся личинки. Выросшая личинка окукливается под камнями или под корой деревьев. Куколка зимует, а весной из неё выходит жук.
Палеонтология
В ископаемом состоянии семейство известно из бирманского и балтийского янтарей[33][34].
Филогения
Филогенетические взаимоотношения основных клад светляков по данным Martin et al., 2019 характеризуются следующей схемой[35] (без учёта новых подсемейств Cheguevariinae[36] и Chespiritoinae[37]):
| Lampyridae |
| ||||||||||||||||||||||||||||||||||||||||||
Классификация
Описано более 2200 видов[2], 150 родов в 11 подсемействах[35][38][39]. В 2019 году проведена реклассификация высшего уровня семейства, в ходе которой статус трибы Lamprohizini Kazantsev, 2010 был повышен до уровня подсемейства Lamprohizinae Kazantsev, 2010 (с включением в него рода Phausis); рода Memoan и Mermudes перенесены в состав подсемейства Amydetinae; род Scissicauda перенесён в состав подсемейства Lampyrinae; статус нескольких родов остаётся неясным и определён как incertae sedis (Pollaclasis, Vestini, Vesta, Dodacles, Dryptelytra, Ledocas, Photoctus, Araucariocladus)[35]. В 2019—2020 годах были выделены новые подсемейства: Cheguevariinae[36] (для рода Cheguevaria Kiesenwetter, 1879) и подсемейство Chespiritoinae (для рода Chespirito Ferreira et al., 2020)[37].
Семейство Светляки (Lampyridae):
- Подсемейство Amydetinae Olivier, 1907
- Триба Amydetini E. Olivier, 1907
- Род Amydetes Hoffmannsegg in Illiger, 1807
- Род Magnoculus McDermott, 1966
- Род Memoan Silveira and Mermudes, 2013
- Триба Psilocladini
- Род Ethra Laporte de Castelnau, 1833
- Род Photoctus McDermott, 1961
- Род Pollaclasis Newman, 1838
- Род Psilocladus Blanchard in Brullé, 1846
- Род Scissicauda McDermott, 1966
- Триба Vestini
- Род Cladodes Solier in Gay, 1849
- Род Dodacles E. Olivier, 1885
- Род Dryptelytra Laporte de Castelnau, 1833
- Род Ledocas E. Olivier, 1885
- Род Vesta Laporte de Castelnau, 1833
- Триба Amydetini E. Olivier, 1907
- Подсемейство Cheguevariinae Kazantsev, 2006[36]
- Род Cheguevaria Kiesenwetter, 1879
- Подсемейство Chespiritoinae Ferreira et al., 2020[37]
- Род Chespirito Ferreira et al., 2020
- Подсемейство Cyphonocerinae Crowson, 1972
- Род Cyphonocerus Kazantsev, 2006
- Подсемейство Lampyrinae Latreille, 1817
- Триба Cratomorphini
- Род Aspisoma
- Род Cratomorphus
- Род Micronaspis
- Род Pyractomena
- Триба Lamprocerini Olivier, 1907
- Триба Lampyrini Latreille, 1817
- Род Светляки (Lampyris Geoffroy, 1762) (Müller, 1764)
- Обыкновенный светляк (Lampyris noctiluca Linnaeus, 1767), иванов червячок
- Род Nyctophila
- Род Pelania
- Род Pyrocaelia Linnaeus
- Светлячок рыжий (Pyrocaelia rufa Olivier), «Светлячок пироцелия»
- Род Светляки (Lampyris Geoffroy, 1762) (Müller, 1764)
- Триба Photinini LeConte, 1881
- Род Photinus Laporte, 1833
- Род Phosphaenus Laporte de Castelnau, 1833
- Phosphaenus hemipterus Goeze, 1777
- Род Phosphaenopterus
- Триба Pleotomini Summers, 1875
- Род Pleotomus LeConte, 1861
- Триба Cratomorphini
- Подсемейство Lamprohizinae Kazantsev, 2010
- Род Lamprohiza Motschulsky, 1852
- Lamprohiza splendidula Linnaeus, 1767
- Род Phausis LeConte, 1852
- Род Lamprohiza Motschulsky, 1852
- Подсемейство Luciolinae Lacordaire, 1857
- Триба Luciolini
- Род Abscondita Ballantyne, Lambkin et Fu, 2013
- Род Aquatica Fu et al.
- Род Atyphella Olliff, 1890
- Род Australoluciola Ballantyne et Lambkin, 2013
- Род Luciola Laporte de Castelnau, 1833
- Luciola italica Linnaeus, 1767
- Род Medeopteryx Ballantyne et Lambkin, 2013
- Род Lampyroidea
- Род Pacifica Ballantyne et Lambkin, 2013
- Род Poluninius Ballantyne et Lambkin, 2013
- Род Pteroptyx Olivier, 1902
- Род Pyrophanes Olivier, 1885
- Род Trisinuata Ballantyne et Lambkin, 2013
- Триба Luciolini
- Подсемейство Ototretinae McDermott, 1964[40]
- = Ototretadrilinae Crowson, 1972[35]
- Род Ototretadrilus Pic, 1921
- = Ototretadrilinae Crowson, 1972[35]
- Подсемейство Photurinae Lacordaire, 1857
- Род Bicellonycha Motschulsky, 1853
- Род Photuris Dejean, 1833
- Род Pyrogaster Motschulsky, 1853
- Подсемейство Psilocladinae (McDermott, 1964)[35]
- Род Psilocladus Blanchard, 1846
- Подсемейство Pterotinae LeConte, 1861
- Pterotus LeConte, 1859
- Incertae Sedis («таксон неопределенного положения»):
- Род Anadrilus Kirsch, 1875
- Род Araucariocladus Silveira and Mermudes, 2017[41]
- Род Lamprigera Motschulsky, 1853
- Род Oculogryphus Jeng, Engel, and Yang, 2007[42]
- Род Photoctus McDermott, 1961
- Род Pollaclasis Newman, 1838
- Триба Vestini McDermott, 1964
- Род Dodacles Olivier, 1885
- Род Dryptelytra Laporte, 1833
- Род Ledocas Olivier, 1885
- Род Vesta Laporte, 1833
Некоторые представители семейства
В культуре
- «Могила светлячков» (роман 1967, аниме 1988, телеверсии)
- Рассказ «Он живой и светится», Виктор Драгунский (из цикла «Денискины рассказы»)
- Сказочная повесть «Земля Светлячков», Виктор Близнец
- Японский праздник Хотаругари (蛍狩り)
- Колыбельная песня «Светлячок»
См. также
Примечания
- 1 2 Станек В. Я. Иллюстрированная энциклопедия насекомых. — Прага: Артия, 1977. — 560 с.
- 1 2 Branhm, M. A. 2010. Lampyridae Latreille, 1817, pp. 141—149. In: R. A. B. Leschen, R. G. Beutel, and J. F. Lawrence (Eds.), Coleoptera, Beetles. Volume 2: Morphology and Systematics (Elateroidea, Bostrichiformia, Cucujiformia partim). Walter de Gruyter, Berlin, Germany. 786 pp.
- 1 2 3 Гиляров М.С. Определитель обитающих в почве личинок насекомых. — М.: Наука, 1964. — 920 с.
- 1 2 Levis. В. D., Cover N. Biology of communication/ Ed Willay, N. Y. Toronto. 1980. 320 p.
- 1 2 Lloyd J. E. Aggressive mimicry in Photuris firefly «femmes fatales» // Science. 1965. V. 149. N 3684. Р. 653—654.
- ↑ Lloyd J. E. Photuris fireflies mimic signals of their female’s pray // Science. 1980. V. 210. N 4437. Р. 669—671.
- ↑ Lloyd J. E. Evolution of firefly flash code // Florida Entomologist. 1984. V. 67. N 2. Р. 228—239.
- ↑ Lloyd J. E. Bioluminescent communication in insects // Ann. Rew. Entom. 1971. V. 16. N 1. Р. 97-122.
- ↑ Lloyd J. E. Bioluminescence and communication in insects // Ann. Rev. Entom. 1983. V. 28. N 2. Р. 131—160.
- ↑ Green E. E. On some luminous Coleoptera from Ceylon // Trans. Roy. Entom. Soc. 1912. V. 4. N 6. Р. 717—719.
- ↑ Buck J.B., Buck E. Biology of synchronous flashing of fireflies // Nature. 1966. V. 211. N 5213. P. 562—564
- ↑ Buck J. В., Buck E. Mechanism of rhythmic synchronous flashing of fireflies // Science. 1968. V. 159. N 3821. Р. 1319—1327
- ↑ Lloyd J. E. Mating behavior of New Guinea fireflies Luciola (Coleoptera, Lampyridae): a new communicative protocol // Coleopt. Bull. 1972a. V. 26. N 4. P. 155—163.
- 1 2 Buck J. B. Anatomy and physiology of light organ in fireflies // Ann. N. Y. Acad. Sci. 1948. V. 49. N 4. Р . 397—482.
- ↑ Ghiradella H. Fine structure of the traheoles of lantern of photurid firefly // J. Morph. 1977. V. 153. N 1. Р. 187—204.
- ↑ Ghiredella H. Reinforced traheoles in three firefly lanterns. Further reflections on specialized traheoles // J. Morph. 1978. V. 157. N 2. Р. 281—300.
- ↑ Klus B. S. Light and electron microscope observation on the photogenic organ of firefly Photuris pennsylvanica, with special reference to the innervation // J. Morph. 1958. V. 103. N 1. Р. 159—185.
- ↑ 164. Smith D. S. The organization and innervation of the luminescent organ in firefly Photinus pennsylvanica (Coleoptera) // J. Cell Biol. 1963. V. 16. N 2. Р. 323—359.
- ↑ Buck J. B. Some aspects of the histology and physiology of luminescence in «railroad worms» // Biol. Bull. 1946. V. 91. P. 226.
- ↑ 21. Bongardt J. Beirage zur kenntnis der leuchtorgane einhemischer Lampyriden // Z. wiss. Zool. 1903. V.75. N 1. P. 1-44.
- ↑ . Bunion E. Le verluisant provencal et la Luciole nicoise / / Men. assoc. des Naturalistes de Niceet des Alpes-Maritimes. (Suppl. Riviera Scientifique). 1929.
- ↑ Barber V. С., Dilly P. N., Pilcher W.T. Fine structure of the vesiculated reticulum in the light organ of glow-worm Lampyris noctiluca / / Nature. 1965. V. 205. N 4977 (March). P. 1183—1185.
- 1 2 Hasana B. Zitologiche Untersuchungen des Leuchtorgans von Zwei Tropischen Leuchkafer, Pyractomena analis und Luciola gorhami / / Cytologia. 1942. V. 12. N 4. Р. 486—494.
- ↑ Lund E. J. On the structure, physiology and use of photogenic organs, with special reference to the Lampyridae // J. Exp. Zool. 1911. V. 11. N 4. Р. 415—467.
- ↑ Geipel E. Beitrage zur Anatomic der Leuchtorgane Tropicher Kafer // Z. wiss. Zool. 1915. V. 112. N 2. P. 239—290.
- ↑ 151. Okada Yo. K. Origin and development of photogenic organs of Lampyrides, with to those of Luciola cruciata Motrschulsky and Pyrocoelia rufa Ern. / / Oliver. Mem. Coil. Sci. Kyoto Imp. Univ. Ser. B. 1935. V. 10. P. 209 −228.
- ↑ Hess W. N. Origin and development of light organ of the Photinus pennsylvanica // J. Morph.. 1922. V. 36. N 3. Р. 245—263.
- ↑ McDermont Coleoperorum Catalogus. Lampyridae. Junk-Schenking, 1966. p. 9. 149 p.
- ↑ 89. Hasana B. Histologische Untersuchungen des Leuchtorgan der Luciola parvula II Cytologia. 1944. V. 13. N 3. P. 179—185.
- ↑ Emery C. Untersuchungen uber Luciola italica L / / Z. wiss. Zool. 1884. V. 40. N 3. P. 338—355.
- ↑ EC 1.13.12.5. IUBMB Enzyme Nomenclature. Nomenclature Committee of the International Union of Biochemistry and Molecular Biology (NC-IUBMB). Дата обращения: 2 октября 2008. Архивировано из оригинала 5 апреля 2012 года.
- ↑ Lloyd J. E. Fireflies of Melanesia: bioluminescence, mating behavior, and synchronous flashing // Enver. Entom. 1973b. V. 2. N 10. P. 991—1008.
- ↑ С. В. Казанцев. Protoluciola albertalleni gen.n., sp.n., новый светлячок подсемейства Luciolinae (Insecta: Coleoptera: Lampyridae) из бирманского янтаря // Russian Entomological Journal. — 2015. — Т. 24, вып. 4. — ISSN 0132-8069. — doi:10.15298/rusentj.24.4.02. Архивировано 29 января 2021 года.
- ↑ Kazantsev S. A new Luciolinae firefly (Coleoptera: Lampyridae) from the Baltic amber // Russian Entomological Journal. — 2012. — Т. 24. — С. 281—283.
- 1 2 3 4 5 Gavin J Martin, Kathrin F Stanger-Hall, Marc A Branham, Luiz F L Da Silveira, Sarah E Lower, David W Hall, Xue-Yan Li, Alan R Lemmon, Emily Moriarty Lemmon, Seth M Bybee. (1 ноября 2019). Jordal, Bjarte (ed.). Higher-Level Phylogeny and Reclassification of Lampyridae (Coleoptera: Elateroidea). Insect Systematics and Diversity. 3 (6). Oxford University Press (OUP). doi:10.1093/isd/ixz024. ISSN 2399-3421.
{{cite journal}}: Википедия:Обслуживание CS1 (множественные имена: authors list) (ссылка) - 1 2 3 Ferreira, Vinicius S; Keller, Oliver; Branham, Marc A; Ivie, Michael A (2019). Molecular data support the placement of the enigmatic Cheguevaria as a subfamily of Lampyridae (Insecta: Coleoptera). Zoological Journal of the Linnean Society. 187 (4). Oxford University Press (OUP): 1253–1258. doi:10.1093/zoolinnean/zlz073. ISSN 0024-4082.
- 1 2 3 Ferreira, VS, Keller, O, Branham, MA (2020) Multilocus phylogeny support the nonbioluminescent firefly Chespirito as a new subfamily in the Lampyridae (Coleoptera: Elateroidea). Insect Systematics and Diversity 4(6) https://doi.org/10.1093/isd/ixaa014
- ↑ Jeng, M.-L. 2008. Comprehensive phylogenetics, systematics, and evolution of neoteny of Lampyridae (Insecta: Coleoptera). Ph.D dissertation. University of Kansas, Lawrence, KS. 388 pp.
- ↑ Nakane, T. 1991. Lampyrid insects of the world, pp. 3-11. In: The Association of Nature Restoration of Japan. (Ed.), The reconstruction of firefly environments. Reconquista SP. No. 1. Siedeku, Tokyo, Japan. 136 pp.
- ↑ Kristyna Janisova, Milada Bocakova. 2013. Revision of the subfamily Ototretinae (Coleoptera: Lampyridae). Zoologischer Anzeiger — A Journal of Comparative Zoology. Volume 252, Issue 1, March 2013, Pages 1-19. https://doi.org/10.1016/j.jcz.2012.01.001
- ↑ Silveira, L. F. L., and J. R. M. Mermudes. 2017. A new tropical montane firefly genus and species, active during winter and endemic to the Southeastern Atlantic Rainforest (Coleoptera: Lampyridae). Zootaxa. 4221(2): 205—214.
- ↑ Jeng, M.-L., M. S. Engel, and P.-S. Yang. 2007. Oculogryphus, a remarkable new genus of fireflies from Asia (Coleoptera: Lampyridae). Am. Mus. Novit. 3600: 1-19.
Литература
- Lewis S. Silent Sparks: The Wondrous World of Fireflies : [англ.]. — Princeton University Press, 2016. — 240 p. — ISBN 978-0-691-16268-3.
