Реакция Раймера — Тимана
Реакция Раймера — Тимана — реакция орто-формилирования фенолов. Была открыта во второй половине XIX века[1]. Относится к классу реакций электрофильного замещения. В классическом варианте реакции в ней принимают участие фенол, хлороформ и основание, ключевым интермедиатом реакции является нейтральный дихлоркарбен, образующийся при элиминировании хлороводорода из хлороформа. Реакция Раймера — Тимана используется, в частности, для получения салицилового альдегида. В реакцию могут вступать многие производные бензола с электродонорными заместителями, однако наибольшие выходы достигаются именно в случае фенолов. Непосредственно сам бензол или ароматические соединения, содержащие электронакцепторные заместители формилируются таким образом.

Механизм
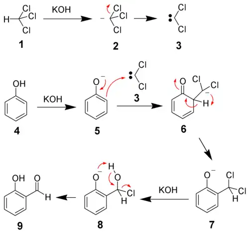
При взаимодействии хлороформа (1) с сильным основанием образуется карбанион (2), который претерпевает быстрое альфа-элиминирование с образованием дихлоркарбена (3). Дихлоркарбен взаимодействует с орто положением фенолят-иона (5) с образованием дихлорметилзамещенного фенола (7). После щелочного гидролиза и соответствующей таутомеризации образуется продукт орто-формилирования (9). Стоит отметить, что в реакции Раймера - Тимана формилирование идёт именно в орто-положение к заместителю, в то время как большинство реакций ароматического электрофильного замещения предпочитают пара-положение ввиду меньших стерических затруднений. Такая особенность объясняется направляющим эффектом фенольной группы.

Примечания
- ↑ Reimer, K.; Tiemann, F. {{{заглавие}}} (неопр.) // Ber.. — 1876. — Т. 9. — С. 824 & 1268 & 1285.
Литература
- Агрономов А.Е. Избранные главы органической химии. — 2-е. — Москва: Химия, 1990. — С. 395-396. — 560 с. — ISBN 5-7245-0387-5.