Реакция Назарова
Реакция Наза́рова — реакция циклизации дивинилкетонов в циклопентеноны под действием кислот Льюиса или Брёнстеда. Механизм этой реакции включает 4π-электроциклизацию пентадиенильных катионных интермедиатов.

Синонимы
В англоязычной литературе известна как «циклизация Назарова» (Nazarov cyclization).
Исторические сведения
В 1941 г. в лаборатории Ивана Николаевича Назарова в ходе систематических исследований свойств винилацетиленов было обнаружено, что дивинилацетилены под действием солей ртути и растворов серной кислоты образуют не только предполагаемые продукты гидратации — аллилвинил- и дивинилкетоны (см. реакция Кучерова), но и продукты их последующей циклизации — замещённые циклопентеноны. Оригинальная статья, в которой описана «циклогидратация» 5-метилгептадиен-1,5-ина-3 в 1,2,3-триметилциклопентен-2-он-5, была получена редакцией 12 июня 1941 г. и опубликована в 1942 г.[1] В этой же работе было показано, что выход циклического продукта можно увеличить до 42 %, если проводить гидратацию данного углеводорода, нагревая до 50-60°С его бензольный раствор с фосфорной кислотой в течение 30 часов.

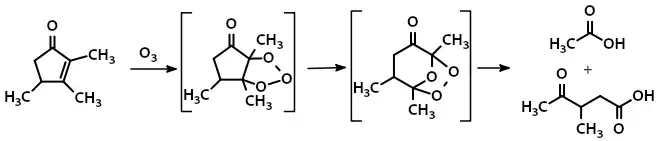
Строение полученного продукта циклизации доказано озонированием, в результате чего получены β-метиллевулиновая и уксусная кислоты.

Хотя реакция Назарова была описана более 80 лет назад, до начала XXI века её возможности практически не исследовались, вероятно, по причине низкой региоселективности циклизации при проведении её в классическом варианте. В последнее время, напротив, появились многочисленные работы, освещающие синтетический потенциал этого превращения, и разработано множество вариаций её проведения, устраняющих или минимизирующих известные недостатки.
После выяснения электроциклической природы реакция Назарова обрела прочный теоретический фундамент и огромное значение для синтетической органической химии, благодаря возможности создания в структуре циклического продукта новых стереоцентров, конфигурация которых определяется орбитальными взаимодействиями и может быть задана при введении в реакцию нужным образом замещённых исходных диенонов.
К настоящему времени реакция Назарова заслуженно считается не только удобным препаративным методом, но и одной из базовых органических реакций.
Механизм реакции
Фактологические данные
Реакцию Назарова катализируют сильные кислоты Брёнстеда или Льюиса, причём обычно необходим один или более эквивалент кислоты:

Селективность циклизации низка в случае, если боковые цепи имеют одинаковую степень замещения.

Введение в реакцию Назарова высокозамещённых субстратов приводит к продукту с наибольшим количеством заместителей при двойной связи:

Электронодонорные и электроноакцепторные заместители могут поляризовать сопряжённую систему связей субстрата, что облегчает протекание циклизации и увеличивает региоселективность:

Современные представления о механизме реакции Назарова
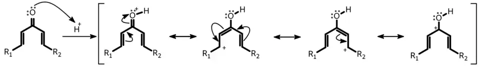
Механизм реакции Назарова оставался загадкой вплоть до 1960-х гг., когда японским химиком Кэнъити Фукуи была выдвинута концепция сохранения орбитальной симметрии. Детальные исследования показали, что реакция Назарова является электроциклической и протекает с участием 4 π-электронов по конротаторному механизму.[2][3]

Координирование протона или кислоты Льюиса с атомом кислорода диенона вызывает образование пентадиенильного катиона, который претерпевает электроциклизацию. В соответствии с принципом сохранения орбитальной симметрии, в результате конротаторной циклизации возникает оксиаллильный катион с анти-расположением заместителей R1 и R3. Этот интермедиат в оригинальном варианте реакции Назарова отщепляет протон, образуя енолят, переходящий в конечный продукт, циклопентенон, в результате таутомеризации. Один из образующихся стереоцентров на стадии отщепления протона разрушается. В иных условиях (см. раздел Вариации) оксиаллильный интермедиат может присоединять нуклеофил или вовлекаться в карбокатионные перегруппировки.
В отсутствие стереохимического контроля реакция протекает с образованием равных количеств продуктов конротаторной циклизации по часовой и против часовой стрелки, в результате чего получается рацемическая смесь.

Синтетический потенциал
Исходные вещества
Проведение реакции Назарова возможно с широким кругом субстратов, имеющих разнообразные заместители. Это открывает путь к лёгкому синтезу функционализированных производных циклопентенона, включая циклопентеноны, конденсированные с неароматическими, ароматическими или гетероциклическими[4] фрагментами структуры, из доступных исходных веществ.
Катализаторы
Существует множество веществ, катализирующих реакцию Назарова; им посвящен отдельный обзор.[5] Можно разделить катализаторы на следующие классы:
Кислоты Брёнстеда: фосфаты 1,1'-биc-2-нафтола (БИНОЛа), трифторметансульфокислота, п-толуолсульфоновая кислота, трифлимид, о-бензолдисульфонимид, трифторуксусная кислота и др.
Кислоты Льюиса: триметилсилил трифлат, эфират трифторида бора, соли и комплексные соединения меди (II), саленовые комплексы ванадия (IV), хлорид алюминия, трифлат серебра, гексафторстибат (V) серебра, трифлаты скандия, индия, иттербия, железа (II), перхлораты кобальта (II) и железа (II), соли золота (I) и (III), серебра и др.
Гетерогенные катализаторы: фосфомолибденовая кислота, Амберлист 15, активированный силикагель, оксид алюминия (кислый, нейтральный или основный).
Органокатализаторы на основе тиомочевины.[6]
В некоторых случаях реакция индуцируется ультрафиолетовым излучением.
Недостатки
Классический вариант циклизации Назарова имеет несколько недостатков, которые современные её вариации пытаются обойти. Первые два не очевидны из механизма, но указывают на барьеры для циклизации; последние три проистекают из проблем с селективностью, связанных с протонированием/отщеплением от интермедиата.
1. Для реакции обычно требуются сильные кислоты Льюиса или Брёнстеда (например, TiCl4, BF3, MeSO3H). Эти промоторы несовместимы с некоторыми лабильными функциональными группами, что ограничивает использование субстратов, имеющих в структуре такие функциональные группы.
2. Несмотря на вытекающую из механизма возможность катализа, для осуществления реакции часто требуется много эквивалентов промотора. Это ограничивает атом-экономичность реакции.
3. Стадия отщепления не является региоселективной; если для отщепления доступно несколько атомов водорода в неэквивалентных β-положениях, часто наблюдается образование смесей продуктов, что крайне нежелательно, поскольку обычно требуется трудоёмкое разделение.
4. Отщепление разрушает потенциальный стереоцентр, снижая желаемые стереохимические возможности реакции.
5. Протонирование енолята иногда не является стереоселективным, что означает, что продукты могут образовываться в виде смесей эпимеров.
Современные вариации
Кремний-ориентированная циклизация
Один из современных вариантов реакции Назарова использует способность кремния стабилизировать β-карбокатионы, а также способность триалкилсилильных групп легко отщепляться от катиона под действием нуклеофилов. Это позволяет получать продукты с заданным расположением двойной связи в циклопентаноновом цикле.

Реакции с альтернативным возникновением катиона
Пентадиенильный катион может быть получен как из дивинилкетонов, так и из других подходящих прекурсоров: ненасыщенных спиртов и их производных, оксиранов, иминов и др.

Любой пентадиенильный катион, вне зависимости от происхождения, способен вступать в реакцию Назарова. Так, например, дихлораллилциклопропаны под действием солей серебра образуют карбокатион, который после раскрытия циклопропильного цикла становится пентадиенильным и циклизуется.[7]

Энантиоселективный вариант
Ретро-реакция Назарова
Аза-реакция Назарова
Еще одной важной вариацией является аза-реакция Назарова, представляющая собой удобный способ синтеза пятичленных азотсодержащих гетероциклических соединений, в особенности, замещенных пирролов. Исходными веществами для циклизации в данном случае являются имины. Например, в присутствии трифторметилсульфоновой кислоты происходит циклизация непредельных иминоспиртов. Имины могут образовываться и в ходе реакции из других соединений (например, из аминов и образующихся при окислении спиртов альдегидов) и без выделения вступать в реакцию Назарова.[8]

Имино-реакция Назарова
Использование дивинилиминов (или их синтетических эквивалентов) вместо дивинилкетонов позволяет получить циклопентенилимины или циклопентениламины. В отличие от аза-реакции, атом азота в данном случае не входит в образующийся циклопентеновый фрагмент. Первая реакция такого рода была описана только в 2001 году.[9] Имино-реакции Назарова сравнительно мало исследованы, известно лишь несколько примеров.

Примером имино-реакции Назарова может служить образование аминоциклопентенов из аминодиенинов под действием трифторуксусной кислоты:[10]

Гомо-реакция Назарова
Поскольку известно, что циклопропильные фрагменты являются синтетическими эквивалентами двойных С=С связей, реакция Назарова была расширена на винилциклопропилкетоны. Так, циклизация фурилциклопропилкетонов и тиенилциклопропилкетонов под действием кислот Льюиса, таких как хлорид олова (IV), позволила получить конденсированные циклогексаноны.[11]

Изо-реакция Назарова
Диенали и линейно сопряженные диеноны также способны вступать в реакцию Назарова, называемую в этом случае изо-реакцией Назарова.[12] Так, было обнаружено, что некоторые диенали циклизуются под действием толуолсульфокислоты при комнатной температуре в соответствующие циклопентеноны:[13]

Циклизоваться в присутствии кислот Льюиса способны и некоторые арилдиенилкетоны, причём в приведённом ниже случае это сопровождается миграцией толильной группы. Интересно, что при использовании подобных субстратов с более электронодонорными заместителями в ароматическом фрагменте протекает обычная циклизация Назарова, в результате которой образуются инданоны.[14]

При обработке диеналей избытком хлорного железа был получен продукт изо-реакции Назарова, который превращается в более термодинамически устойчивый изомер при действии того же катализатора при пониженной температуре в течение двух суток:[15]

Прерванная реакция Назарова
Прерванная реакция Назарова это последовательность превращений, включающая электроциклическое замыкание цикла диенона в циклопентенильный катион на первом шаге и атаку нуклеофила по этому катиону на втором. Нуклеофилами могут выступать электроноизбыточные алкены, ароматические соединения, различные N-нуклеофилы, О-нуклеофилы и галогены.[16]

Первая прерванная реакция Назарова, описанная Форлендером (Vorländer) в 1903 году, заключалась в образовании дифенилоксициклопентенона из дибензилиденацетона в кислой среде в присутствии уксусного ангидрида:[17]

Прерванный вариант имеют также изо-, гомо-, азо- и имино-варианты реакции Назарова:

Примеры применения
Использование в синтезах природных веществ
Обзоры
1. G. Ru, T. Zhang, M. Zhang, X. Jiang, Z. Wan, X. Zhu, W. Shen, G. Gao. Recent progress towards the transition-metal-catalyzed Nazarov cyclization of alkynes via metal carbenes // Organic & Biomolecular Chemistry. — 2021. — Vol. 19. — Pp. 5274-5283. https://doi.org/10.1039/d1ob00744k
2. A. V. Yadykov, V. Z. Shirinian. Recent Advances in the Interrupted Nazarov Reaction // Advanced Synthesis & Catalysis. — 2020. — Vol. 362 — Pp. 702—723. https://doi.org/10.1002/adsc.201901001
3. M. G. Vinogradov, O. V. Turova, S. G. Zlotin. Nazarov reaction: current trends and recent advances in the synthesis of natural compounds and their analogs // Org. Biomol. Chem. — 2017. — Pp. 8245-8269. https://doi.org/10.1039/C7OB01981E
4. S. P. Simeonov, J. P. M. Nunes, K. Guerra, V. B. Kurteva, C. A. M. Afonso. Synthesis of Chiral Cyclopentenones // Chem. Rev. — 2016. — Vol. 116 — Pp. 5744-5893. https://doi.org/10.1021/cr500504w
5. N. S. Sheikh. 4π Electrocyclisation in domino processes: contemporary trends and synthetic applications towards natural products // Org. Biomol. Chem. — 2015. — Vol. 13. — Pp. 10774-10796.
6. N. Jana, T. G. Driver. Assembly of functionalized carbocycles or N-heterocycles through a domino electrocyclization-[1,2] migration reaction sequence // Org. Biomol. Chem. — 2015. — Vol. 13 — Pp. 9720-9741.
7. D. R. Wenz, J. R. Alaniz. The Nazarov Cyclization: A Valuable Method to Synthesize Fully Substituted Carbon Stereocenters // Eur. J. Org. Chem. — 2015. — Pp. 23-37. https://doi.org/10.1002/ejoc.201402825
8. M. A. Tius. Allene ether Nazarov cyclization // Chem. Soc. Rev. — 2014. — Vol. 43. — Pp. 2979-3002. https://doi.org/10.1039/C3CS60333D
9. M. J. Di Grandi. Nazarov-like cyclization reactions // Org. Biomol. Chem. — 2014. — Vol. 12. — Pp. 5331-5345.
10. F. de Nanteuil, F. De Simone, R. Frei, F. Benfatti, E. Serrano, J. Waser. Cyclization and Annulation Reactions of Nitrogen-Substituted Cyclopropanes and Cyclobutanes // Chem. Commun. — 2014. — Vol. 50. — Pp. 10912-10928. https://doi.org/10.1039/C4CC03194F
11. W. T. Spencer III, T. Vaidya, A. J. Frontier. Beyond the Divinyl Ketone: Innovations in the Generation and Nazarov Cyclization of Pentadienyl Cation Intermediates // Eur. J. Org. Chem. — 2013. — Pp. 3621-3633. https://doi.org/10.1002/ejoc.201300134
12. N. Shimada, C. Stewart, M. A. Tius. Asymmetric Nazarov cyclizations // Tetrahedron — 2011. — Vol. 67. — Pp. 5851-5870. https://doi.org/10.1016/j.tet.2011.05.062
13. T. Vaidya, R. Eisenberg, A. J. Frontier. Catalytic Nazarov Cyclization: The State of the Art // ChemCatChem — 2011. — Vol. 3. — Pp. 1531—1548. https://doi.org/10.1002/cctc.201100137
14. A. Moyano, R. Rios. Asymmetric Organocatalytic Cyclization and Cycloaddition Reactions // Chem. Rev. — 2011. — Vol. 111. — Pp. 4703-4832. https://pubs.acs.org/doi/10.1021/cr100348t
15. W. Nakanishi, F. G. West. Curr. Opin. Drug Discovery Dev. — 2009. — Vol 12. — Pp. 732—751.
16. T. N. Grant, C. J. Rieder, F. G. West. Interrupting the Nazarov reaction: domino and cascade processes utilizing cyclopentenyl cations // Chem. Commun. — 2009. — Pp. 5676-5688. https://doi.org/10.1039/B908515G
17. H. Pellissier. Recent developments in the Nazarov process // Tetrahedron — 2005. — Vol. 61. — Pp. 6479-6517. https://doi.org/10.1016/j.tet.2005.04.014
18. M. A. Tius. Some New Nazarov Chemistry // Eur. J. Org. Chem. — 2005. — Pp. 2193—2206. https://doi.org/10.1002/ejoc.200500005
19. A. J. Frontier, C. Collison. The Nazarov cyclization in organic synthesis. Recent advances // Tetrahedron — 2005. — Vol. 61. — Pp. 7577-7606. https://doi.org/10.1016/j.tet.2005.05.019
20. M. Harmota. The Nazarov Reaction: Substituent Effects, Catalysis and Asymmetric Catalysis // Chemtracts — 2004. — Vol. 17. — Pp. 416—435. https://doi.org/10.1002/chin.200540235
21. K. L. Habermas, S. Denmark, T. K. Jones. The Nazarov Cyclization // Org. React. — 1994. — Vol. 45. — Pp. 1-158. https://doi.org/10.1002/0471264180.or045.01
22. И. Н. Назаров. О механизме гидратации и циклизации диенинов // Успехи химии. — 1951. — Т. 20. — С. 71-103.
См. также
Примечания
- ↑ Назаров И.Н., Кузнецова А.И. Производные ацетилена. Сообщение 29. Конденсация фенола со спиртами ацетиленового и винилацетиленового ряда // Известия АН СССР, сер. хим : журнал. — 1942. — Вып. 6. — С. 392–405. Архивировано 4 ноября 2023 года.
- ↑ Shoppee, C. W.; Lack, R. E. (1969), Intramolecular electrocyclic reactions. Part I. Structure of 'bromohydroxyphorone': 3-bromo-5-hydroxy-4,4,5,5-tetramethylcyclopent-2-enone, Journal of the Chemical Society C: Organic (10): 1346–1349, doi:10.1039/J39690001346
- ↑ Shoppee, C. W.; Cooke, B. J. A. (1972), Intramolecular electrocyclic reactions. Part II. Reactions of 1,5-di-phenylpenta-1,4-dien-3-one, Journal of the Chemical Society, Perkin Transactions 1: 2271, doi:10.1039/p19720002271
- ↑ Malona J.A.; Colbourne J.M.; Frontier A.J. (2006), A General Method for the Catalytic Nazarov Cyclization of Heteroaromatic Compounds, Org. Lett., 8 (24): 5661–5664, doi:10.1021/ol062403v
- ↑ Vaidya T.; Eisenberg R.; Frontier A.J. (2011), Catalytic Nazarov Cyclization: The State of the Art, ChemCatChem, 3 (10): 1531–1548, doi:10.1002/cctc.201100137
- ↑ Basak A.K.; Shimada N.; Bow W.F.; Vicic D.A.; Tius M.A. (2010), An Organocatalytic Asymmetric Nazarov Cyclization, J. Am. Chem. Soc., 132 (10): 8266–8267, doi:10.1021/ja103028r
- ↑ Grant, T.N.; West, F.G. (2006), A New Approach to the Nazarov Reaction via Sequential Electrocyclic Ring Opening and Ring Closure, J. Am. Chem. Soc., 128 (29): 9348–9349, doi:10.1021/ja063421a, PMID 16848467
- ↑ Narayan R.; Fröhlich R.; Würthwein E.-U.. (2012), Synthesis of Pyrroles through a 4π-Electrocyclic Ring-Closure Reaction of 1-Azapentadienyl Cations, J. Am. Chem. Soc., 77 (4): 1868–1879, doi:10.1021/jo202477h
- ↑ Tius M. A.; Chu, C.C.; Nieves-Colberg, R. (2001), An imino Nazarov cyclization, Tetrahedron Letters, 42: 2419–2422, doi:10.1016/s0040-4039(01)00201-5
- ↑ Li, X.; Peng, S.; Li, L.; Huang, Y. (2015), Synthesis of tetrasubstituted 1-silyloxy-3-aminobutadienes and chemistry beyond Diels–Alder reactions: 3-bromo-5-hydroxy-4,4,5,5-tetramethylcyclopent-2-enone, Nature Communications (6): 6913, doi:10.1038/ncomms7913
- ↑ Yadav V.; Kumar N.V. (2008), 2,3-Heteroaromatic ring-fused cyclohexanones via heteroaromatic homo-Nazarov cyclization of donor-acceptor substituted cyclopropanes, Chemical Communications, 2008 (32): 3774–3776, doi:10.1039/B805348K
- ↑ Riveira M. J.; Marsili, L. A.; Mischne, M. P. (2017), Iso-Nazarov reactions, Org. Biomol. Chem.: 9255–9274, doi:10.1039/C7OB02220D
- ↑ Yoshimatsu, M.; Matsuura, Y.; Gotoh, K. (2003), A Novel 3,4-Bis(sulfenyl)- or 4-Selenenyl-3-sulfenylpenta-2,4-dienylation of Aldehydes Using 4-Ethoxy-1,2-bis(sulfenyl)- or 1-Selenenyl-2-sulfenyl-buta-1,3-dienyl Lithiums, Chem. Pharm. Bull., 51: 1405–1412, doi:10.1248/cpb.51.1405
- ↑ Marcus, A. P.; Lee, A. S.; Davis, R. L.; Tantillo, D. J.; Sarpong, R. (2008), Pronounced Steric Effects of Substituents in the Nazarov Cyclization of Aryl Dienyl Ketones, Angew. Chem., Int. Ed., 47: 6379–6383, doi:10.1002/anie.200801542
- ↑ Kuroda, C.; Honda, S.; Nagura, Y.; Koshio, H.; Shibue, T.; Takeshita, T. (2004), Synthesis of spiro[4.5]decane and bicyclo[4.3.0]nonane ring systems by self-cyclization of (Z)- and (E)-2-(trimethylsilylmethyl)pentadienal derivative, Tetrahedron, 60: 319–331, doi:10.1016/j.tet.2003.11.024
- ↑ Yadykov, A. V.; Shirinian, V. Z. (2020), Recent Advances in the Interrupted Nazarov Reaction, Advanced Synthesis & Catalysis, 362 (4): 702–723, doi:10.1002/adsc.201901001
- ↑ Vorländer, D.; Schroedter, M. (1903), Einwirkung von schwefelsäure und essigsäureanhydrid auf dibenzalaceton, Ber. Dtsch. Chem. Ges., 36: 1490–1497, doi:10.1002/cber.19030360227