Реакция Лейкарта — Валлаха

Реакция Лейкарта — Валлаха — метод синтеза аминов восстановительным аминированием карбонильных соединений при действии формамида, формиата аммония либо эквимолярной смеси первичного или вторичного амина и муравьиной кислоты:

Реакция открыта в 1885 году Рудольфом Лейкартом, обнаружившим, что реакция карбонильных соединений с аминами в присутствии формиата аммония ведет к образованию аминов[1] и затем исследована Отто Валлахом, показавшим, что избыток муравьиной кислоты повышает выходы и позволяет проводить реакцию в менее жестких условиях[2].

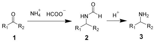
Реакция проводится при нагревании до 100—200 °C смеси карбонильного соединения и соответствующего формиата либо формамида без растворителя либо в растворе уксусной или муравьиной кислоты, при этом первичные и вторичные амины образуются в ходе реакции в обычно виде N-формильных производных 2, которые затем гидролизуют до свободных аминов 3, выходы — до 84 %[3]:

Предполагается, что реакция идет через образование соли имина, образующейся при взаимодействии карбонильного соединения и амина (либо формамида в кислой среде с последующим восстановлением муравьиной кислотой:

В случае образования первичного или вторичного амина он в условиях реакции обычно формилируется избытком муравьиной кислоты.

В реакцию вступают как алкил-, так и арилформамиды, арилформамиды реагируют легче незамещенного формамида, а он, в свою очередь, легче, чем N-алкил и N,N-диалкилформамиды. В случае одновременного наличия в карбонильном компоненте кетонной и альдегидной групп в первую очередь в реакцию вступает альдегидная группа.

Наиболее гладко реакция проходит в случае высококипящих кетонов и ароматических альдегидов, однако замещенные ароматические альдегиды имеют пониженную реакционную способность, в этих случаях в качестве катализатора используется пиридин.

Модификацией реакции Лейкарта — Валлаха, в которой в качестве карбонильного компонента используется формальдегид, является реакция Эшвайлера — Кларка — метилирование первичных и вторичных аминов смесью формальдегида и муравьиной кислоты:

Преимуществом аминирования по Лейкарту — Валлаху является его простота и доступность исходных веществ, а также возможность восстановительного аминирования соединений, содержащих восстанавливающиеся стандартными восстановителями группы (например, в случае нитрофенилкетонов), однако жесткие условия и длительность проведения реакции ограничивают его применимость. Основная побочная реакция — альдольная конденсация, наличие других групп, реагирующих в этих условиях с аминами (например, в случае α,β-ненасыщенных альдегидов и кетонов) также ограничивает возможность применения этого метода.

Примечания

  1. Leuckart R. Ueber eine neue Bildungsweise von Tribenzylamin (нем.) // Chemische Berichte : magazin. — 1885. Bd. 18, Nr. 2. S. 2341. doi:10.1002/cber.188501802113.
  2. Wallach O. Zur Kenntniss der Terpene und der ätherischen Oele; Zweiundzwanzigste Abhandlung. I. Ueber die Bestandtheile des Tujaöls (нем.) // Justus Liebigs Annalen der Chemie : magazin. — 1893. Bd. 272, Nr. 1. S. 99. doi:10.1002/jlac.18932720103.
  3. A. W. Ingersoll. α-Phenylethylamine. Organic Syntheses, Coll. Vol. 2, p.503 (1943); Vol. 17, p.76 (1937). Дата обращения: 17 апреля 2013. Архивировано 24 октября 2012 года.

Литература

  • Химическая энциклопедия / Редкол.: Кнунянц И.Л. и др.. М.: Советская энциклопедия, 1990. — Т. 2 (Даф-Мед). — 671 с. — ISBN 5-82270-035-5.