Послеприток
Послеприток — приток жидкости из пласта в скважину после её остановки.
Понятие о коэффициенте послепритока
После закрытия скважины, хотя объем флюида в стволе и не меняется, его количество в весовом отношении увеличивается. С течением времени, по мере роста давления в стволе, интенсивность влияния ствола (послепритока) уменьшается (рис. 1.)

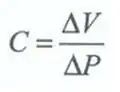
Эффект влияния ствола сопровождает не только остановку скважины, но и любую смену режима эксплуатации (пуск, изменение дебита и пр.). Количественной мерой эффекта влияния ствола является коэффициент влияния ствола скважины:

где ΔV — изменение объема флюида, приведенного к термобарическим условиям в стволе в начале притока, ΔР — изменение давления.
Если известен коэффициент влияния ствола, по темпу изменения давления на забое скважины во времени можно рассчитать изменение во времени дебита послепритока:
.jpg)
Данное соотношение используют для оценки коэффициента влияния ствола. Для этого наиболее благоприятен интервал времени, соответствующий началу переходного процесса. В частности, для цикла КВД коэффициент послепритока равен отношению предшествующего расхода скважины Q_0 = const к темпу изменения давления в начальный момент — P’=ΔP/Δt|t=0 (геометрически — тангенсу угла наклона к КВД в декартовых координатах) (рис. 2.)
.jpg)
.jpg)
Расчет коэффициента послепритока
Соотношение для оценки коэффициента послепритока, обусловленного исключительно сжимаемостью флюида (например, при остановке фонтанирующей скважины), можно получить из следующих соображений.
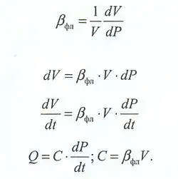
Из формулы для расчета коэффициента сжимаемости заполняющего ствол флюида с начальным объемом V
.jpg)
Общее соотношение для коэффициента послепритока в стволе действующей скважины с динамическим уровнем можно получить исходя из следующих соображений. Вначале преобразуем соотношение, заменив объем флюида его плотностью:
.jpg)
Решение этого уравнения имеет вид
.jpg)
где γнач- плотность при начальном давлении Pнач• Если P>Pнач, то γ>γнач (то есть с увеличением давления плотность возрастает).
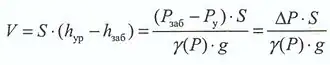
Если пренебречь весом столба газа выше уровня, а также изменением плотности по глубине ниже уровня, то давление на забое Рзаб определяется соотношением
.jpg)
где hyр — глубина уровня, hзаб — глубина измерения давления (на забое), Ру- давление на устье. Объем жидкости выше глубины измерения давления:
.jpg)
где S — площадь сечения трубы. Дебит послепритока,
Первое слагаемое определяет изменение дебита за счет подъема динамического уровня, второе — за счет сжимаемости флюида. Далее, преобразуя предыдущее выражение, определив величину плотности с помощью уравнения для нахождения γ, получим окончательное выражение для дебита послепритока:
Для несжимаемого флюида β=0, когда послеприток обусловлен исключительно подъемом уровня жидкости.
.jpg)
Диагностика переменного послепритока по результатам ГДИС
Допущение о постоянном коэффициенте послепритока вполне приемлемо и успешно используется при анализе результатов ГДИС при фильтрации жидкости. Характер влияния послепритока на результаты ГДИС можно увидеть из рисунка. В начальной стадии цикла исследования коэффициент послепритока оказывает преобладающее влияние на поведение давления по сравнению с базовыми гидродинамическими параметрами (фильтрационными свойствами, скин-фактором и пр.). Причем чем больше коэффициент послепритока, на большем отрезке времени ощутимо это влияние.
Для газа необходимо дополнительно учитывать существенное влияние на его свойства термобарических условий, которые, в свою очередь, существенно зависят от режима работы скважины. В этом случае при больших перепадах температуры и давления коэффициент послепритока уже нельзя считать постоянным. Но главным фактором, определяющим нестабильный послеприток, является сложный состав заполняющей ствол смеси. При одновременном наличии в стволе нескольких компонентов или фаз, отличающихся по плотности, происходит их перераспределение по глубине. Вес столба флюида выше точки измерения давления меняется во времени. В этих условиях зависит от времени и коэффициент послепритока.
Модели переменного послепритока
Существуют два принципиально различных способа описания переменного послепритока. Первый способ предполагает, что этот параметр меняется постепенно непрерывным образом. Одной из наиболее известных моделей, описывающих непрерывное изменение послепритока во времени, является модель Fair. Она предполагает, что интенсивность перераспределения фаз в стволе меняется во времени t по экспоненциальному закону:
Где С — постоянная (стандартная) составляющая коэффициент после притока; Qат — расход в стандартных условиях. Модель Hegeman отличается лишь способом расчёта показателя экспоненты:
Где t* — псевдовремя, а — аналог параметра τ, но нормированный в масштабе псевдовремени. Наряду с рассмотренными в практике ГДИС используются модели, предполагающие изменение коэффициента послепритока дискретным образом. Как правило, различные коэффициенты послепритока в этом случае соответствуют временным интервалам, отличающимся режимом работы скважины. Характер влияния переменного послепритока на логарифмическую производную поясняет схема. На рисунках приведены зависимости изменения производной во времени для нескольких отличающихся друг от друга постоянных коэффициентов послепритока. Они выступают в качестве своеобразной масштабной шкалы описываемого эффекта. Производная для переменного послепритока последовательно пересекает несколько таких зависимостей в соответствии с характером изменения во времени коэффициента послепритока (С). Если коэффициент растёт, производная пересекает сначала кривые с малыми значениями С, а затем с большими. Если коэффициент падает, производная пересекает кривые в обратном порядке.
Примеры влияния переменного послепритока на результаты ГДИС
Переменный послеприток может быть вызван самыми разными причинами. При резком падении давления на забое в процессе запуска нефтяной скважины на отбор (технология КСД) увеличивается газосодержание продукции. Вследствие этого растёт сжимаемость поступающей из пласта смеси, что вызывает рост интенсивности послепритока во времени, подобный пример приведен на рисунке.
Другой часто встречающейся причиной переменного послепритока является нестационарный процесс накопления на забое скважины тяжелой фазы (пластовой воды). В процессе эксплуатации вода выносится на устье потоком поступающего из пласта флюида. При остановке скважины (исследования по технологии КВД, КВУ) вынос воды прекращается. Она осаждается, скапливаясь на забое. Одновременно может происходить приток воды из вскрытых пластов или, наоборот, её поглощение. В совокупности перечисленные процессы могут быть причиной самой различной динамики изменения содержания воды на забое и вызывать как рост, так и падение коэффициента послепритока во времени. Так, ГДИС, представленные на рис. 3.2, 3.3, характеризуются послепритоком с интенсивностью, падающей во времени. Рис. 3.4, 3.5 соответствуют случаю, когда интенсивность послепритока, наоборот, увеличивается во времени. На рисунках реальные результаты измерений сопоставлены с гипотетическими кривыми, которые наблюдались бы при постоянной интенсивности послепритока. Результаты интерпретации полученных материалов с учетом переменного послепритока приведены на рис. 3.6.
Темп изменения послепритока настолько существенен, что в начальной фазе КВД наблюдается локальное падение давления. Это соответствует рассмотренным ранее теоретическим представлениям (рис. 2.2). На кривой логарифмической производной этому временному интервалу соответствует зона неопределенных значений
В данной скважине были выполнены измерения изменения профиля давления по глубине в режиме фонтанирования (рис. 3.7а) и в статике (рис . 3.7б), отражающие изменение по глубине плотности заполнителя ствола. Анализ этих материалов подтверждает факт осаждения воды на забое после остановки скважины и высокое газосодержание заполнителя ствола, что в совокупности и обеспечило ярко выраженный переменный послеприток.
Литература
- М. И. Кременцкий. Информационное обеспечение и технологии гидродинамического моделирования нефтяных и газовых залежей. — 2-е изд. — Мир, 2012. — С. 200-320.