Полиимиды

Полиимиды (иногда сокращённо PI) — класс полимеров, содержащий в основной цепи имидные циклы[1], в основном, конденсированные с ароматическими или иными циклами. Наибольшее применение нашли термостойкие ароматические полиимиды — производные тетракарбоновых кислот с пятичленными имидными циклами в основной цепи.
Классификация
По составу их основной цепи, полиимиды могут быть:
- алифатические (линейные полиимиды);
- полуароматические.
Ароматические R' и R" являются двумя атомами углерода ароматического кольца. Это наиболее часто используемые полиимиды из-за их термостабильности.
В зависимости от типа взаимодействия между основными цепями делятся на:
- термопластичные;
- термореактивные.
Синтез
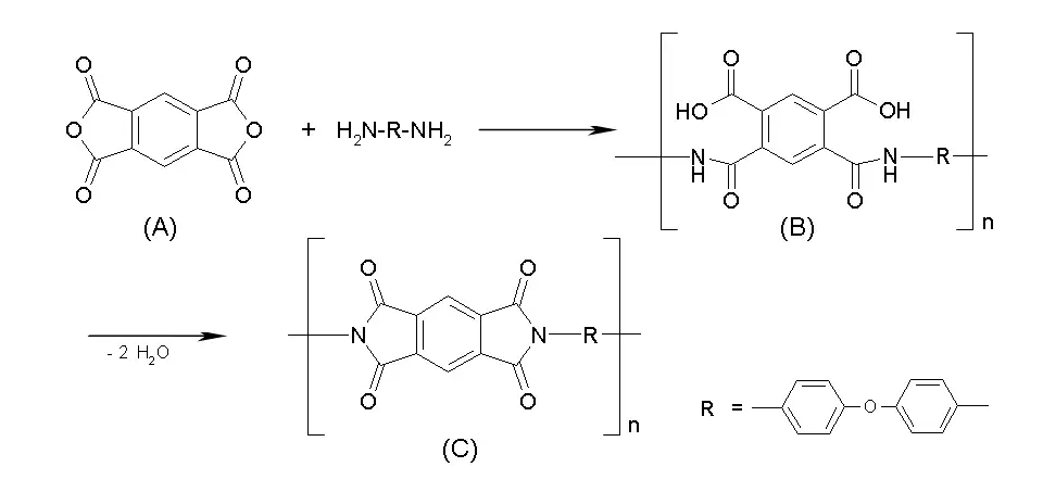
Полиимиды обычно получают поликонденсацией диангидридов тетракарбоновых кислот — пиромеллитовой (бензол-1,2,4,5-тетракарбоновой, 3,3',4,4'-тетракарбоксидифенила и т. п.) с диаминами. В случае синтеза термостойких полиимидов обычно используются ароматические диамины (4,4'-диаминодифенилоксид, м-фенилендиамин и т. п.). В случае плавких полиамидов поликонденсация может быть проведена в расплаве в одну стадию, однако в случае термостойких и нерастворимых полиимидов используется двухстадийный процесс. Первая стадия поликонденсации проводится в растворе, при этом взаимодействием диангидрида (например, диангидрида пиромеллитовой кислоты A) с диамином синтезируют полиамидокислоту B, в качестве растворителей обычно используются алифатические амиды (диметилформамид, N,N'-диметилацетамид, N-метилпирролидон) или диметилсульфоксид. Получившаяся на первой стадии полиамидокислота далее циклизуется в полиимид С:
Циклизация амидокислоты в полиимид (имидизация) может быть осуществлена как термически, так и химически.
При термической имидизации сформированные из полиамидокислоты плёнки, волокна или порошок нагреваются в вакууме или инертной атмосфере до 300—350 °C, при этом происходит отщепление воды и замыкание имидного цикла; степень полимеризации в этом процессе обычно уменьшается.
При химической имидизации раствор полиамидокислоты обрабатывается смесью ангидрида карбоновой кислоты (чаще всего уксусным ангидридом) и третичного амина (триэтиламином, пиридином и т. п.), процесс идёт при относительно низких температурах (20-100 °C) и с сохранением степени полимеризации исходной полиамидокислоты.
Полиимиды также синтезируют взаимодействием ангидридов тетракарбоновых кислот с диизоцианатами, реакция идёт с выделением диоксида углерода:
Свойства
Термореактивные полиимиды известны термической стабильностью, хорошей химической стойкостью, отличными механическими свойствами, имеют оранжевый / жёлтый цвет. Полиимиды армируют углеродом или стекловолокном, получая композитные материалы. Термореактивные полиимиды демонстрируют высокую прочность на растяжение. Эти свойства сохраняются до температуры 232 °C. На большинство полиимидов не действуют часто используемые растворители и масла — в том числе углеводороды, сложные эфиры, эфиры, спирты и фреоны. Они также устойчивы к слабым кислотам, но не рекомендуется их использование в средах, содержащих щёлочи и неорганические кислоты, а также горячей воды и пара.
Применение
- Тонкие (толщиной меньше микрона) полиимидные плёнки применяются в качестве оптических окон в источниках синхротронного излучения[2].
- Самоклеящаяся лента в виде рулонов, для высоковольтной и высокотемпературной изоляции электрических цепей. «Каптон» применяется для фиксации подвижных проводников в электронных устройствах.
- Изготовление гибких печатных плат.
- Вставки захватов для контакта с горячей стеклотарой, на стекольном производстве, взамен традиционных бронзовых и графитовых вставок. Используются модификации с высоким содержанием (40 %) графита.
- Высокооборотные подшипники скольжения, работающие при большой нагрузке и высокой температуре до +350 °C. Используются модификации с добавлением графита (15-40 %) и фторопласта-4 (PTFE). PV-фактор может достигать 12 МПа х м/с при сухом трении по стали.
- Поршневые кольца (компрессионные, направляющие) компрессоров работающих без смазки. Модификация с добавлением 15 % графита.
Примечания
- ↑ Maréchal, E.; E. S. Wilks. Generic source-based nomenclature for polymers(IUPAC Recommendations 2001) (англ.) // Pure and Applied Chemistry : journal. — 2001. — Vol. 73, no. 9. — P. 1511—1519. — ISSN 1365-3075 0033-4545, 1365-3075. — doi:10.1351/pac200173091511. Архивировано 26 января 2013 года.
- ↑ Y. Tamenori, J. Synchrotron Rad. (2010), 17, 243—249
Ссылки
- [www.xumuk.ru/encyklopedia/2/3501.html Полиимиды]

