Метод заряда аккумуляторной батареи IUoU

IUoU это обозначение по DIN[1] (DIN 41773) процедуры заряда свинцово-кислотного аккумулятора, также известной как зарядка в три этапа или зарядка в три шага. Она состоит из трёх фаз (или шагов), выполняемых зарядным устройством. Этими фазами являются: фаза I (постоянный ток), фаза Uo (постоянное перенапряжение), и фаза U (постоянное напряжение). Цель этой процедуры заключается в полной зарядке аккумуляторной батареи в относительно короткий период времени без снижения её ресурса и поддержание аккумуляторной батареи в полностью заряженном состоянии всё время, пока к ней подсоединено зарядное устройство.
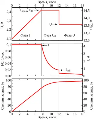
Фазы заряда
Первая фаза называется фаза I, фаза постоянного тока, или фаза объёмного заряда. Началом этой фазы служит подключение зарядного устройства IUoU ко глубоко разряженной аккумуляторной батарее. Зарядное устройство заряжает аккумуляторную батарею постоянным током, обычно, это максимальный ток, на который зарядное устройство способно. В результате батарея принимает заряд, и напряжение на её токовыводах повышается. При достижении напряжения Umax на токовыводах аккумуляторной батареи, константному или связанному с температурой аккумуляторной батареи, зарядное устройство ограничивает напряжение, обычно до значения 2,4 вольта на элемент. Как только достигается напряжение Umax, обычно, это происходит, когда аккумуляторная батарея заряжена до 70-80 % от её ёмкости[1], зарядное устройство переходит в фазу Uo. В случае, если аккумуляторная батарея уже имеет заряд в 80 % от её ёмкости, этот переход может произойти сразу же, как будет подключено зарядное устройство. Некоторые зарядные устройства[1] могут поддерживать напряжение Umax на токовыводах аккумуляторной батареи некоторое время и дожидаться, пока зарядный ток не упадёт до уровня 80 % от значения постоянного тока заряда, и только потом отобразить переход ко следующей фазе.
Вторая фаза называется фаза Uo, фаза повышенного постоянного напряжения, фаза абсорбции, или фаза дозаряда. В этой фазе аккумуляторная батарея продолжает дозаряжаться повышенным постоянным напряжением Uo, а ток заряда снижается. Снижение зарядного тока связано со внутренними процессами, протекающими внутри электрохимической системы аккумуляторной батареи. Напряжение в фазе Uo слишком высоко (перенапряжение), чтобы оставаться приложенным продолжительное время, но оно позволяет зарядить аккумуляторную батарею полностью за относительно непродолжительное время. Фаза Uo завершается, когда ток заряда снижается до установленного порога Imin, после чего происходит переход в фазу U. Это происходит, когда заряд аккумуляторной батареи достигает 95 % от её ёмкости.[1] Некоторые зарядные устройства[2] сопровождают эту фазу второй фазой постоянного тока (с небольшим повышением напряжения) перед переходом в фазу U. Напряжение Uo может иметь то же значение, что и Umax в предыдущей фазе, или может быть слегка повышено.
Третья фаза называется фаза U или поддерживающий заряд, напряжение снижается до значения, которое безопасно для аккумуляторной батареи в течение длительных периодов времени без значительного сокращения срока службы батареи. Во время этой фазы зарядный ток постепенно уменьшается до небольшого значения, которое компенсирует саморазряд аккумулятора.
Напряжения и токи
Ток в фазе I (первая фаза) следует выбирать в зависимости от емкости аккумуляторной батареи. На практике же он зависит от возможностей зарядного устройства и может варьироваться. Ёмкость аккумуляторной батареи C обозначается в ампер-часах (Ah), обычно C20 основывается на 20-и часовом времени разряда.[3] Зарядный ток (в Амперах) может быть записан как C/t, где t это время. Например, для аккумуляторной батареи ёмкостью C = 40 Ah, ток C/10 h (обычно записывается как C/10, отбрасывая «часы») равен 4 A. Зарядный ток представляет собой компромисс между временем заряда (предпочтение отдается высоким токам), предотвращением повреждений из-за перегрева или выделения газов (предпочтение отдается низким токам) и стоимостью зарядного устройства (предпочтение отдается низким токам). Рекомендации по максимальному току заряда меняются между C/10[2] и C/2.[3] При высоких токах заряда может потребоваться активное охлаждение аккумуляторной батареи для предотвращения перегрева.[3]
Напряжение в U и Uo фазах (вторая и третья фазы) зависят от типа аккумуляторной батареи и температурных условий. Батареи имеют разное количество ячеек (обычно шесть для автомобильного аккумулятора) и могут быть с жидким электролитом, с электролитом, абсорбированным стекломатином (AGM) или с гелевым электролитом. Значения в таблице ниже соответствуют температуре около 20 °C (68 °F).[1][3] Для значений температуры, отличающихся более чем на 5 °C (10 °F), вводится корректировка в −5 mV/°C (−2.8 mV/°F) на ячейку[1] или −0.03 V/°C (−17 mV/°F) для 12 V (6 ячеек) аккумуляторной батареи (более высокие напряжения при более низких температурах и наоборот).
| Тип батареи | Первая фаза | Вторая фаза | Третья фаза | Ссылка | ||
|---|---|---|---|---|---|---|
| Umax (V) | I | Uo (V) | Imin | U (V) | ||
| Жидкий электролит, 1а ячейка | 2.32 | < C/5 | 2.42 | I/10 | 2.27 | [1] |
| 2.47 | < C/2 | 2.47-2.50 | C/100 | 2.25-2.30 | [3] | |
| 2.37-2.47 | C/10 | 2.37-2.47 | C/33 | 2.19 | [2] | |
| Жидкий электролит, 6 ячеек (12 V) | 13.9 | < C/5 | 14.5 | I/10 | 13.6 | [1] |
| 14.8 | < C/2 | 14.8—15.0 | C/100
(Max 24 часа.[3]) |
13.5—13.8 | [3] | |
| AGM, 6 ячеек (12 V) | 13.9 | < C/5 | 14.5 | I/10 | 13.6 | [1] |
| 14.1 | < C/2 | 14.1—14.4 | C/100 | 13.6—13.8 | [3] | |
| Гелевый, 6 ячеек (12 V) | 13.9 | < C/5 | 14.1 | I/10 | 13.6 | [1] |
| 14.1 | < C/2 | 14.1—14.4 | C/100 | 13.5—13.8 | [3] | |
| Тяговый, малосурьмянистый, 6 ячеек (12 V) | 14.7 | < C/2 | 14.7—14.9 | C/100 | 13.2—13.4 | [3] |
Особые случаи
Изношенная аккумуляторная батарея будет иметь короткие фазы I и Uo, но есть риск обильного газовыделения, сопряжённым с ещё большим повреждением батареи.
Если аккумуляторная батарея подключена к значительной нагрузке во время заряда, конец фазы Uo может никогда не быть достигнут, и батарея будет обильно выделять газ и разрушаться, в зависимости от тока заряда.
См. также
Примечания
- 1 2 3 4 5 6 7 8 9 10 Samlex Switch Mode, Automatic, Lead Acid Battery Charger 3 Stage (IUoU): Owner's manual Архивная копия от 16 февраля 2022 на Wayback Machine (2009)
- 1 2 3 US Battery Charging Recommendations. Дата обращения: 11 февраля 2021. Архивировано 23 февраля 2016 года.
- 1 2 3 4 5 6 7 8 9 10 Exide Battery Charging and Storage Guidelines Архивная копия от 31 марта 2020 на Wayback Machine (2015).