Гипоксен

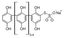
Полидигидроксифенилентиосульфонат натрия или Гипоксен — антигипоксант и антиоксидант. Представляет собой чёрный кристаллический порошок без запаха, хорошо растворяется в воде. Не растворим в 96 % спирте, ацетоне, диэтиловом эфире.
История
Гипоксен был синтезирован в середине 1970-х годов совместно Институтом Высокомолекулярных Соединений и Всесоюзным Научно-исследовательским Институтом Особо Чистых Препаратов, прошел многочисленные клинические испытания в таких учреждениях как: ВМЕДА им. С. М. Кирова, НИИ Кардиологии Минздрава РФ, ГМУ им. И. П. Павлова, НИИ экспериментальной медицины РАМН, Медицинская Академия последипломного образования Минздрава РФ, (г. Санкт-Петербург), НИИ им. А. В. Вишневского, НИИ им. П. А. Герцена, Кафедрой реабилитации и спортивной медицины РГМУ (г. Москва) и др. С 1996 года разрешён к медицинскому применению. Исторически, в порядке хронологии, он назывался Биотоп, Полифен, Олифен, Гипоксен (2000 г.) Латинское название — Hypoxenum.
В настоящее время препарат предлагается для терапии ИБС — в выборке из 102 больных Олифен достоверно увеличивал потребление кислорода и уменьшал ацидоз, уменьшал содержание лактата и пирувата в крови.
Состав и форма выпуска
1 капсула содержит натриевой соли поли-(2,5-дигидроксифенилен)-4-тиосульфокислоты 0,25 г; во флаконах по 30 шт.1 мл раствора для инъекций — 0,14 г; в ампулах по 2 мл в комплекте с ножом ампульным; в пачке 10 шт.1 таблетка — 0,5 г; в контурной ячейковой упаковке 10 шт., в коробке 2 упаковки.
Фармакодинамика
Препятствует развитию реакций перекисного окисления липидов, стимулирует разрушение продуктов перекисного окисления. В постгипоксическом периоде способствует быстрому окислению накопленных восстановленных эквивалентов — никотинамидадениндинуклеотидфосфата (НАДФ, НАДФН2), оптимизирует работу митохондрий и улучшает тканевое дыхание. Поддерживает высокий уровень тканевого дыхания и аэробных процессов в митохондриях, нивелирует негативные последствия гипоксии, увеличивает толерантность к физическим и умственным нагрузкам.
Фармакологическое действие
Антигипоксическое, антиоксидантное. Обладает электронно-акцепторными свойствами (обусловлены полифенольной структурой), шунтирует митохондриальную цепь переноса электронов и повышает эффективность тканевого дыхания. Оказывает выраженное антирадикальное и антиокислительное действие (за счет наличия тиосульфатной группы).
Показания к применению
Сниженная работоспособность при работе в экстремальных ситуациях и сложных для адаптации климатических условиях (Крайний Север, высокогорье и т. п.), синдром хронической усталости, тяжелые травмы, хирургические вмешательства, кровопотери, обширные ожоги, заболевания легких (хронические обструкционные, бронхиальная астма, абсцесс, септическая пневмония и др.). Также применяется спортсменами в качестве допинга для уменьшения закисления мышц, для увеличения выносливости.
Способ применения и дозы
Внутрь, до или во время еды (с небольшим количеством жидкости), по 0,5—1 г 3 раза в сутки в течение 3-14 дней, однако спортсмены иногда принимают большее количество гипоксена. Внутривенно капельно (непосредственно перед введением содержимое ампулы разводят в 200—400 мл физиологического раствора или 5 % раствора глюкозы), со скоростью 40-60 капель в минуту, 1-3 раза в сутки в течение 3-5 дней.
Противопоказания
Противопоказано при кормлении грудью, так как полидигидроксифенилентиосульфонат натрия выделяется с грудным молоком, не применяют препарат при нарушениях мозгового кровообращения и при беременности.
Побочные эффекты
Может вызывать аллергические реакции как эритема, зуд кожи, помимо этого, может вызвать понижение артериального давления — гипотензию.
Передозировка
Симптомы: тошнота, дискомфорт в области живота, угнетение дыхания. Лечение: симптоматическое.