Гидантоин
| Гидантоин | |
|---|---|
| |
| Общие | |
| Систематическое наименование |
2,4-имидазолидиндион |
| Традиционные названия | Гидантоин |
| Хим. формула | C3H4N2O2 |
| Физические свойства | |
| Состояние | твёрдое |
| Молярная масса | 100,076 г/моль |
| Термические свойства | |
| Температура | |
| • плавления | 220 °C |
| Химические свойства | |
| Растворимость | |
| • в воде (100 °C) | 3,97 г/100 мл |
| Классификация | |
| Рег. номер CAS | 461-72-3 |
| PubChem | 10006 |
| Рег. номер EINECS | 207-313-3 |
| SMILES | |
| InChI | |
| ChEBI | 27612 |
| ChemSpider | 9612 |
| Приведены данные для стандартных условий (25 °C, 100 кПа), если не указано иное. | |
Гидантоин (гликолилмочевина) — гетероциклическое соединение, которое можно рассматривать как циклический продукт двойной конденсации гликолевой кислоты и мочевины.
Синтез
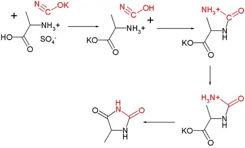
Гидантоин был впервые выделен в 1861 году Адольфом Байером в ходе исследований мочевой кислоты. Он получил его гидрированием аллантоина, что и дало название соединению. Urech в 1873[1] году получил производное — 5-метилгидантоин из сульфата аланина и цианата калия:

5,5-диметилгидантоин также может быть получен из циангидрина ацетона и карбоната аммония[2]. Реакция этого типа называется реакцией Бухерера-Бергса.[3][4]
В соответствии с энциклопедией Британника (1911 г.), гидантоин может быть получен нагреванием аллантоина с иодоводородом или нагреванием бромацетилмочевины со спиртовым раствором аммиака.
Применение
В химии
Гидантоин гидролизуется горячей разбавленной соляной кислотой с образованием глицина.
В медицине
Производные
Дантролен используется при лечении злокачественной гипертермии, злокачественного нейролептического синдрома, мышечной спастичности и интоксикации MDMA.
Некоторые N-галогенированые производные гидантоина используются как хлорирующие или бромирующие агенты в дезинфицирующих средствах. Тремя основными N-галогенироваными производными являются дихлордиметилгидантоин (DCDMH), бромхлордиметилгидантон (BCDMH) и дибромдиметилгидантоин (DBDMH).
В фармацевтической промышленности
Гидантоин используется в синтезе следующих антиконвульсантов:
Повреждение ДНК
Значительная доля цитозиновых и тиминовых оснований в ДНК после смерти организма окисляется до гидантоина. Такое превращение блокирует ДНК-полимеразу и таким образом препятствует проведению полимеразной цепной реакции. Эти повреждения являются проблемой при работе со старыми образцами ДНК[5].
Ссылки
Примечания
- ↑ Urech, Ann., 165, 99 (1873).
- ↑ Organic Syntheses, Coll. Vol. 3, p.323 (1955); Vol. 20, p.42 (1940) Link Архивная копия от 10 октября 2007 на Wayback Machine.
- ↑ Bucherer and Steiner, J. prakt. Chem., 140, 291 (1934).
- ↑ Bergs, Ger. pat. 566,094 (1929) [C. A., 27, 1001 (1933)].
- ↑ Hofreiter M., Serre D., Poinar H.N., Kuch M., and Paabo S. Nature Reviews Genetics (2001) 2:353.
- Эта статья (раздел) содержит текст, взятый (переведённый) из одиннадцатого издания «Британской энциклопедии», перешедшего в общественное достояние.
