Внутримолекулярная реакция
Внутримолекулярная реакция в химии описывает процесс или характеристику, свойства или явления, ограниченные в структуре одной молекулы.
Примеры
- Внутримолекулярный гидридный перенос (перенос гидрид-иона между частями одной молекулы)
- Внутримолекулярные водородные связи (водородная связь образуюется между двумя функциональными группами одной молекулы).
Во внутримолекулярных органических реакциях две реагирующих области могут содержатся в одной молекуле. Это создает очень высокую эффективную концентрацию (в результате — высокие скорости реакций) и, следовательно, могут протекать многие внутримолекулярные реакции, которые обычно не встречаются в качестве межмолекулярных реакций между этими соединениями.
Примеры внутримолекулярных реакций: перегруппировка Смайлса, конденсация Дикмана, синтез Маделунга.
Молекулярные привязки
Концепция молекулярных якорей предполагает, что остальные внутримолекулярные реакции временно могут быть внутримолекулярными благодаря связыванию обоих реакций «якорем». Известные варианты выбора привязки могут включать в себя карбонатный эфир, борный эфир, силиловый эфир, или силильные ацетальные соединения (кремниевая привязка)[1], которые являются достаточно инертными во многих органических реакциях и все же могут быть разорваны посредством специфических реагентов. Основным препятствием для последней указанной цели является выбор правильной длины привязки и создание способных к реакциям групп, имеющих оптимальную ориентацию относительно друг друга. Примером является реакция Посона — Кханда, где алкен и алкин связаны вместе с помощью силилового эфира[2].
В данной реакции, угол приведения привязки реагирующих групп эффективно уменьшается путём размещения изопропиловой группы на атоме кремния посредством эффекта Торпа — Ингольда. Никакой реакции не произойдет, если эти объемные группы будут заменены меньшими метильными группами.
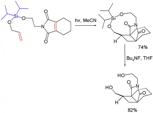
Другим примером является фотохимическое [2 + 2] циклоприсоединение с двумя группами алкена, связанных через кремниевую ацетальную группу (рацемическую, другой энантиомер не показан), которая затем расщепляется фторидом тетра-н-бутиламмония с образованием эндо-диола.
Без привязки формируется экзо-изомер[3].
См. также
Примечания
- ↑ Bracegirdle, S.; Anderson, E. A. Chem. Soc. Rev., 2010, 39, 4114 — 4129, doi:10.1039/C0CS00007H
- ↑ The use of silicon-based tethers for the Pauson-Khand reaction Dobbs A, Miller I, Martinovic S Beilstein Journal of Organic Chemistry, 2007 3:21 (6 July 2007) Article link Архивная копия от 8 октября 2007 на Wayback Machine
- ↑ Diastereoselective intramolecular photochemical [2 + 2] cycloaddition reactions of tethered l-(+)-valinol derived tetrahydrophthalimides Kevin I. Booker-Milburn, Sirin Gulten and Andrew Sharpe Chem. Commun., 1997, 1385—1386, doi:10.1039/a702386c