Винная кислота

Винная кислота
Изображение химической структуры Изображение молекулярной модели
Общие
Традиционные названия Винная кислота
Хим. формула НООССН(ОН)СН(ОН)СООH
Физические свойства
Молярная масса 150,1 г/моль
Плотность
  • D- и L-энантиомеры[1]: 1,76
  • мезо-форма[1]: 1,666
  • рацемат[1]: 1,788 г/см³
Термические свойства
Температура
  плавления
  • D- и L-энантиомеры: 168–170
  • мезо-форма: 140
  • рацемат: 206 °C
Химические свойства
Константа диссоциации кислоты при 25 °C:
D,L- pKa1 = 2,95, pKa2=4,25
мезо- pKa1 = 3,22 pKa2=4,85
Растворимость
  в воде 139,44 г/100 мл
Классификация
Рег. номер CAS

87-69-4 L-(+),
147-71-7 D-(−),
147-73-9 мезо,

133-37-9 рацемат
PubChem
Рег. номер EINECS 610-885-0
SMILES
InChI
Кодекс Алиментариус E334
ChEBI 15674
ChemSpider
Приведены данные для стандартных условий (25 °C, 100 кПа), если не указано иное.
Логотип Викисклада Медиафайлы на Викискладе

Ви́нная кислота́ (виннокаменная кислота, кислота, тартаровая кислота, 2,3-дигидроксибутандиовая кислота)  — двухосновная гидроксикислота. Соли и анионы винной кислоты называют тартратами.

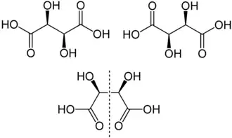
Изомерия

Известны три стереоизомерные формы винной кислоты: D-(−)-энантиомер (слева вверху), L-(+)-энантиомер (справа вверху) и мезо-форма (мезовинная кислота):

Рацемическая смесь энантиомерных винных кислот известна как виноградная кислота.

Получение

Винная кислота — распространённое природное соединение. В значительном количестве она содержится в кислом соке многих фруктов, например, в виноградном соке. D-винную кислоту получают действием минеральных кислот на её кислую калиевую соль (винный камень), образующуюся при брожении виноградного сока. При пиролизе D-винная кислота декарбоксилируется с образованием пировиноградной и пировинной (метилянтарной) кислот. Она восстанавливается до янтарной кислоты, восстанавливает аммиачный раствор до ; в щелочной среде растворяет с образованием прозрачного ярко-синего раствора — реактива Фелинга.

Применение

Применяется в пищевой промышленности (пищевая добавка Е334), в медицине, в аналитической химии для обнаружения альдегидов, сахаров и др., в химической и фармакологической промышленности для разделения рацематов органических веществ на изомеры. Соли винной кислоты (тартраты) используются в медицине, при крашении тканей и др.

См. также

Примечания

  1. 1 2 3 K. Peter C. Vollhardt: Organische Chemie, VCH Weinheim, 1. korrigierter Nachdruck der 1. Auflage, 1990, S. 166, ISBN 3-527-26912-6.