Ацетилацетонат марганца(III)
| Ацетилацетонат марганца(III) | |
|---|---|
| |
| | |
| Общие | |
| Систематическое наименование |
Ацетилацетонат марганца(III) |
| Традиционные названия | Ацетилацетонат марганца |
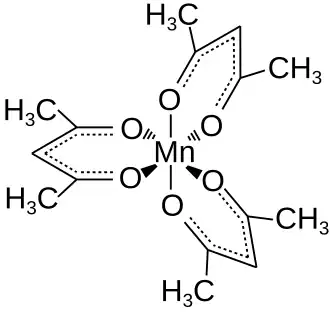
| Хим. формула | [Mn(C5H7O2)3] |
| Рац. формула | MnC15H21O6 |
| Физические свойства | |
| Состояние | чёрное вещество |
| Молярная масса | 352,17 г/моль |
| Термические свойства | |
| Температура | |
| • плавления | 172 °C |
| Классификация | |
| Рег. номер CAS | 14284-89-0 |
| PubChem | 6477710, 416789 и 24189001 |
| Рег. номер EINECS | 238-188-3 |
| SMILES | |
| InChI | |
| ChemSpider | 76062 |
| Приведены данные для стандартных условий (25 °C, 100 кПа), если не указано иное. | |
Ацетилацетона́т ма́рганца(III) — органическое вещество, хелатное соединение металла марганца, формулой [Mn(C5H7O2)3]. При нормальных условиях представляет собой блестящие чёрные кристаллы, плохо растворимые в воде, но хорошо растворимые в органических растворителях.
Получение
- Вещество можно получить по уравнению:
- Действие ацетилацетона на ацетат марганца(III):
- Реакция суспензии MnOOH c ацетилацетоном в водном растворе.
Физические свойства
Ацетилацетонат марганца(III) образует блестящие чёрные кристаллы, плавится при 172 °C. Растворяется в бензоле, хлороформе, эфирах и др. Плохо растворяется в воде.
Литература
- Рипан Р., Четяну И. Неорганическая химия. Химия металлов. — М.: Мир, 1972. — Т. 2. — 871 с.
- Справочник химика / Редкол.: Никольский Б. П. и др.. — 2-е изд., испр. — М.—Л.: Химия, 1966. — Т. 1. — 1072 с.
- Справочник химика / Редкол.: Никольский Б. П. и др.. — 3-е изд., испр. — Л.: Химия, 1971. — Т. 2. — 1168 с.
-acetylacetonat.svg.png)