Diphenylpyraline

Diphenylpyraline
Clinical data
Other names4-(diphenylmethoxy)-1-methyl-piperidine
AHFS/Drugs.comInternational Drug Names
Routes of
administration
Oral, Topical
ATC code
Legal status
Legal status
  • In general: ℞ (Prescription only)
Pharmacokinetic data
Elimination half-life24–40 hours[1]
Identifiers
  • 4-benzhydryloxy-1-methyl-piperidine
CAS Number
PubChem CID
IUPHAR/BPS
DrugBank
ChemSpider
UNII
KEGG
ChEBI
ChEMBL
CompTox Dashboard (EPA)
ECHA InfoCard100.005.170
Chemical and physical data
FormulaC19H23NO
Molar mass281.399 g·mol−1
3D model (JSmol)
  • O(C(c1ccccc1)c2ccccc2)C3CCN(C)CC3
  • InChI=1S/C19H23NO/c1-20-14-12-18(13-15-20)21-19(16-8-4-2-5-9-16)17-10-6-3-7-11-17/h2-11,18-19H,12-15H2,1H3 checkY
  • Key:OWQUZNMMYNAXSL-UHFFFAOYSA-N checkY
  (verify)

Diphenylpyraline (DPP; sold as Allergen, Arbid, Belfene, Diafen, Hispril, Histyn, Lergobine, Lyssipol, Mepiben, Neargal) is a first-generation antihistamine with anticholinergic effects of the diphenylpiperidine class.[2][3][4] It is marketed in Europe for the treatment of allergies.[2][3][5] DPP has also been found to act as a dopamine reuptake inhibitor and produces hyperactivity in rodents.[6] It has been shown to be useful in the treatment of Parkinsonism.[7]

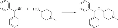
Synthesis

Diphenylpyraline synthesis via coupling of 4-hydroxy-1-methylpiperidine with benzhydrylbromide[8][9]

References

  1. ^ Graham G, Bolt AG (June 1974). "Half-life of diphenylpyraline in man". Journal of Pharmacokinetics and Biopharmaceutics. 2 (3): 191–5. doi:10.1007/BF01059761. PMID 4156058. S2CID 38955052.
  2. ^ a b Swiss Pharmaceutical Society (2000). Index Nominum 2000: International Drug Directory (Book with CD-ROM). Boca Raton: Medpharm Scientific Publishers. ISBN 3-88763-075-0.
  3. ^ a b Puhakka H, Rantanen T, Virolainen E (1977). "Diphenylpyraline (Lergobine) in the treatment of patients suffering from allergic and vasomotor rhinitis". J Int Med Res. 5 (1): 37–41. doi:10.1177/030006057700500106. PMID 14039. S2CID 19330175.
  4. ^ Kubo N, Shirakawa O, Kuno T, Tanaka C (March 1987). "Antimuscarinic effects of antihistamines: quantitative evaluation by receptor-binding assay". Japanese Journal of Pharmacology. 43 (3): 277–82. doi:10.1254/jjp.43.277. PMID 2884340.
  5. ^ Hruby VJ, Vardanyan R, Vardanyan R (2006). "Antihistamine Drugs". Synthesis of Essential Drugs. Amsterdam: Elsevier. ISBN 0-444-52166-6.
  6. ^ Lapa G, Mathews T, Harp J, Budygin E, Jones S (2005). "Diphenylpyraline, a histamine H1 receptor antagonist, has psychostimulant properties". Eur J Pharmacol. 506 (3): 237–40. doi:10.1016/j.ejphar.2004.11.017. PMID 15627433.
  7. ^ Ohno T, Kobayashi S, Hayashi M, Sakurai M, Kanazawa I (2001). "Diphenylpyraline-responsive parkinsonism in cerebrotendinous xanthomatosis: long-term follow up of three patients". J Neurol Sci. 182 (2): 95–7. doi:10.1016/S0022-510X(00)00441-X. PMID 11137513. S2CID 35946097.
  8. ^ US 2479843, Knox LH, Kapp R, "1-Alkylpiperidyl-4-benzhydryl ethers, acid salts thereof and their preparation", issued 23 August 1949, assigned to Nopco Chemical Company. 
  9. ^ DE 934890, Schuler WA, "Verfahren zur Herstellung von basischen Benzhydryläthern [Process for the production of basic benzhydrylethers]", issued 10 November 1955, assigned to Chemische Fabrik Promonta LLC.