Atomic radii of the elements (data page)

The atomic radius of a chemical element is the distance from the center of the nucleus to the outermost shell of an electron. Since the boundary is not a well-defined physical entity, there are various non-equivalent definitions of atomic radius. Depending on the definition, the term may apply only to isolated atoms, or also to atoms in condensed matter, covalently bound in molecules, or in ionized and excited states; and its value may be obtained through experimental measurements, or computed from theoretical models. Under some definitions, the value of the radius may depend on the atom's state and context.[1]

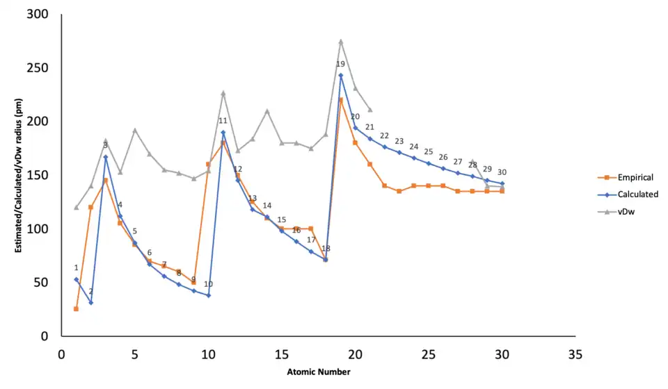
Atomic radii vary in a predictable and explicable manner across the periodic table. For instance, the radii generally decrease rightward along each period (row) of the table, from the alkali metals to the noble gases; and increase down each group (column). The radius increases sharply between the noble gas at the end of each period and the alkali metal at the beginning of the next period. These trends of the atomic radii (and of various other chemical and physical properties of the elements) can be explained by the electron shell theory of the atom; they provided important evidence for the development and confirmation of quantum theory.

Atomic radius

Note: All measurements given are in picometers (pm). For more recent data on covalent radii see Covalent radius. Just as atomic units are given in terms of the atomic mass unit (approximately the proton mass), the physically appropriate unit of length here is the Bohr radius, which is the radius of a hydrogen atom. The Bohr radius is consequently known as the "atomic unit of length". It is often denoted by a0 and is approximately 53 pm. Hence, the values of atomic radii given here in picometers can be converted to atomic units by dividing by 53, to the level of accuracy of the data given in this table.

Atomic radii up to zinc (30)
Atomic radii up to zinc (30)
atomic number symbol name empirical Calculated van der Waals Covalent (single bond) Covalent (triple bond) Metallic
1 H hydrogen 25[2] 53 120[3] or 110[4] 32
2 He helium 120 31[5] 140[3][4] 46
3 Li lithium 145[2] 167[5] 182[3] or 181[4] 133 152
4 Be beryllium 105[2] 112[5] 153[4] 102 85[6] 112
5 B boron 85[2] 87[5] 192[4] 85 73[6]
6 C carbon 70[2] 67[5] 170[3][4] 75 60[6]
7 N nitrogen 65[2] 56[5] 155[3][4] 71 54[6]
8 O oxygen 60[2] 48[5] 152[3][4] 63 53[6]
9 F fluorine 50[2] 42[5] 147[3][4] 64 53[6]
10 Ne neon 160[7] 38[5] 154[3][4] 67
11 Na sodium 180[2] 190[5] 227[3][4] 155 186
12 Mg magnesium 150[2] 145[5] 173[3][4] 139 127[6] 160
13 Al aluminium 125[2] 118[5] 184[4] 126 111[6] 143
14 Si silicon 110[2] 111[5] 210[3][4] 116 102[6]
15 P phosphorus 100[2] 98[5] 180[3][4] 111 94[6]
16 S sulfur 100[2] 88[5] 180[3][4] 103 95[6]
17 Cl chlorine 100[2] 79[5] 175[3][4] 99 93[6]
18 Ar argon 71 71[5] 188[3][4] 96 96[6]
19 K potassium 220[2] 243[5] 275[3][4] 196 227
20 Ca calcium 180[2] 194[5] 231[4] 171 133[6] 197
21 Sc scandium 160[2] 184[5] 211 148 114[6] 162 b
22 Ti titanium 140[2] 176[5] 136 108[6] 147
23 V vanadium 135[2] 171[5] 134 106[6] 134 b
24 Cr chromium 140[2] 166[5] 122 103[6] 128 b
25 Mn manganese 140[2] 161[5] 119 103[6] 127 b
26 Fe iron 140[2] 156[5] 116 102[6] 126 b
27 Co cobalt 135[2] 152[5] 111 96[6] 125 b
28 Ni nickel 135[2] 149[5] 163[3] 110 101[6] 124 b
29 Cu copper 135[2] 145[5] 140[3] 112 120[6] 128 b
30 Zn zinc 135[2] 142[5] 139[3] 118 134 b
31 Ga gallium 130[2] 136[5] 187[3][4] 124 121[6] 135 c
32 Ge germanium 125[2] 125[5] 211[4] 121 114[6]
33 As arsenic 115[2] 114[5] 185[3][4] 121 106[6]
34 Se selenium 115[2] 103[5] 190[3][4] 116 107[6]
35 Br bromine 115[2] 94[5] 185[3] or 183[4] 114 110[6]
36 Kr krypton 88[5] 202[3][4] 117 108[6]
37 Rb rubidium 235[2] 265[5] 303[4] 210 248
38 Sr strontium 200[2] 219[5] 249[4] 185 139[6] 215
39 Y yttrium 180[2] 212[5] 163 124[6] 180 b
40 Zr zirconium 155[2] 206[5] 154 121[6] 160
41 Nb niobium 145[2] 198[5] 147 116[6] 146 b
42 Mo molybdenum 145[2] 190[5] 138 113[6] 139 b
43 Tc technetium 135[2] 183[5] 128 110[6] 136 b
44 Ru ruthenium 130[2] 178[5] 125 103[6] 134 b
45 Rh rhodium 135[2] 173[5] 125 106[6] 134 b
46 Pd palladium 140[2] 169[5] 163[3] 120 112[6] 137 b
47 Ag silver 160[2] 165[5] 172[3] 128 137[6] 144 b
48 Cd cadmium 155[2] 161[5] 158[3] 136 151 b
49 In indium 155[2] 156[5] 193[3][4] 142 146[6] 167
50 Sn tin 145[2] 145[5] 217[3][4] 140 132[6]
51 Sb antimony 145[2] 133[5] 206[4] 140 127[6]
52 Te tellurium 140[2] 123[5] 206[3][4] 136 121[6]
53 I iodine 140[2] 115[5] 198[3][4] 133 125[6]
54 Xe xenon 108[5] 216[3][4] 131 122[6]
55 Cs caesium 260[2] 298[5] 343[4] 232 265
56 Ba barium 215[2] 253[5] 268[4] 196 149[6] 222
57 La lanthanum 195[2] 226 180 139[6] 187 b
58 Ce cerium 185[2] 210 163 131[6] 181.8 c
59 Pr praseodymium 185[2] 247[5] 176 128[6] 182.4 c
60 Nd neodymium 185[2] 206[5] 174 181.4 c
61 Pm promethium 185[2] 205[5] 173 183.4 c
62 Sm samarium 185[2] 238[5] 172 180.4 c
63 Eu europium 185[2] 231[5] 168 180.4 c
64 Gd gadolinium 180[2] 233[5] 169 132[6] 180.4 c
65 Tb terbium 175[2] 225[5] 168 177.3 c
66 Dy dysprosium 175[2] 228[5] 167 178.1 c
67 Ho holmium 175[2] 226[5] 166 176.2 c
68 Er erbium 175[2] 226[5] 165 176.1 c
69 Tm thulium 175[2] 222[5] 164 175.9 c
70 Yb ytterbium 175[2] 222[5] 170 176 c
71 Lu lutetium 175[2] 217[5] 162 131[6] 173.8 c
72 Hf hafnium 155[2] 208[5] 152 122[6] 159
73 Ta tantalum 145[2] 200[5] 146 119[6] 146 b
74 W tungsten 135[2] 193[5] 137 115[6] 139 b
75 Re rhenium 135[2] 188[5] 131 110[6] 137 b
76 Os osmium 130[2] 185[5] 129 109[6] 135 b
77 Ir iridium 135[2] 180[5] 122 107[6] 135.5 b
78 Pt platinum 135[2] 177[5] 175[3] 123 110[6] 138.5 b
79 Au gold 135[2] 174[5] 166[3] 124 123[6] 144 b
80 Hg mercury 150[2] 171[5] 155[3] 133 151 b
81 Tl thallium 190[2] 156[5] 196[3][4] 144 150[6] 170
82 Pb lead 180 154[5] 202[3][4] 144 137[6]
83 Bi bismuth 160[2] 143[5] 207[4] 151 135[6]
84 Po polonium 190[2] 135[5] 197[4] 145 129[6]
85 At astatine 127[5] 202[4] 147 138[6]
86 Rn radon 120[5] 220[4] 142 133[6]
87 Fr francium 348[4]
88 Ra radium 215[2] 283[4] 201 159[6]
89 Ac actinium 195[2] 186 140[6]
90 Th thorium 180[2] 175 136[6] 179 b
91 Pa protactinium 180[2] 169 129[6] 163 d
92 U uranium 175[2] 186[3] 170 118[6] 156 e
93 Np neptunium 175[2] 171 116[6] 155 e
94 Pu plutonium 175[2] 172 159 e
95 Am americium 175[2] 166 173 b
96 Cm curium 176 166 174 b
97 Bk berkelium 170 b
98 Cf californium 186±2 b
99 Es einsteinium 186±2 b
100 Fm fermium
101 Md mendelevium
102 No nobelium
103 Lr lawrencium
104 Rf rutherfordium 131[6]
105 Db dubnium 126[6]
106 Sg seaborgium 121[6]
107 Bh bohrium 119[6]
108 Hs hassium 118[6]
109 Mt meitnerium 113[6]
110 Ds darmstadtium 112[6]
111 Rg roentgenium 118[6]
112 Cn copernicium 130[6]
113 Nh nihonium
114 Fl flerovium
115 Mc moscovium
116 Lv livermorium
117 Ts tennessine
118 Og oganesson

See also

Notes

  • Difference between empirical and calculated data: Empirical data basically means, "originating in or based on observation or experience" or "relying on experience or observation alone often without due regard for system and theory data".[8] It basically means that you measured it through physical observation, and a lot of experiments generating the same results. Although, note that the values are not calculated by a formula. However, often the empirical results then become an equation of estimation. Calculated data on the other hand are only based on theories. Such theoretical predictions are useful when there are no ways of measuring radii experimentally, if you want to predict the radius of an element that hasn't been discovered yet, or it has too short of a half-life.
  • The radius of an atom is not a uniquely defined property and depends on the definition. Data derived from other sources with different assumptions cannot be compared.
  • † to an accuracy of about 5 pm
  • (b) 12 coordinate
  • (c) gallium has an anomalous crystal structure
  • (d) 10 coordinate
  • (e) uranium, neptunium and plutonium have irregular structures
  • Triple bond mean-square deviation 3pm.

References

  1. ^ Cotton, F. A.; Wilkinson, G. (1988). Advanced Inorganic Chemistry (5th ed.). Wiley. p. 1385. ISBN 978-0-471-84997-1.
  2. ^ a b c d e f g h i j k l m n o p q r s t u v w x y z aa ab ac ad ae af ag ah ai aj ak al am an ao ap aq ar as at au av aw ax ay az ba bb bc bd be bf bg bh bi bj bk bl bm bn bo bp bq br bs bt bu bv bw bx by bz ca cb cc cd ce cf cg ch J.C. Slater (1964). "Atomic Radii in Crystals". The Journal of Chemical Physics. 41 (10): 3199–3204. Bibcode:1964JChPh..41.3199S. doi:10.1063/1.1725697.
  3. ^ a b c d e f g h i j k l m n o p q r s t u v w x y z aa ab ac ad ae af ag ah ai aj ak al A. Bondi (1964). "van der Waals Volumes and Radii". The Journal of Physical Chemistry. 68 (3): 441–451. doi:10.1021/j100785a001.
  4. ^ a b c d e f g h i j k l m n o p q r s t u v w x y z aa ab ac ad ae af ag ah ai aj ak al am an ao ap aq ar Mantina, Manjeera; Chamberlin, Adam C.; Valero, Rosendo; Cramer, Christopher J.; Truhlar, Donald G. (2009-04-21). "Consistent van der Waals Radii for the Whole Main Group". The Journal of Physical Chemistry A. 113 (19). American Chemical Society (ACS): 5806–5812. Bibcode:2009JPCA..113.5806M. doi:10.1021/jp8111556. ISSN 1089-5639. PMC 3658832. PMID 19382751.
  5. ^ a b c d e f g h i j k l m n o p q r s t u v w x y z aa ab ac ad ae af ag ah ai aj ak al am an ao ap aq ar as at au av aw ax ay az ba bb bc bd be bf bg bh bi bj bk bl bm bn bo bp bq br bs bt bu bv bw bx by bz ca cb cc cd ce E. Clementi; D.L.Raimondi; W.P. Reinhardt (1967). "Atomic Screening Constants from SCF Functions. II. Atoms with 37 to 86 Electrons". The Journal of Chemical Physics. 47 (4): 1300–1307. Bibcode:1967JChPh..47.1300C. doi:10.1063/1.1712084.
  6. ^ a b c d e f g h i j k l m n o p q r s t u v w x y z aa ab ac ad ae af ag ah ai aj ak al am an ao ap aq ar as at au av aw ax ay az ba bb bc bd be bf bg bh bi bj bk bl bm bn bo bp bq br bs bt bu bv bw bx by bz ca cb S. Riedel; P.Pyykkö, M. Patzschke; Patzschke, M (2005). "Triple-Bond Covalent Radii". Chem. Eur. J. 11 (12): 3511–3520. doi:10.1002/chem.200401299. PMID 15832398.
  7. ^ Neon has van der Waals radii thus its radii is the highest in its period
  8. ^ "Empirical Definition & Meaning - Merriam-Webster".

Data is as quoted at http://www.webelements.com/ from these sources:

Covalent radii (single bond)

  • R.T. Sanderson (1962). Chemical Periodicity. New York, USA: Reinhold.
  • L.E. Sutton, ed. (1965). "Supplement 1956–1959, Special publication No. 18". Table of interatomic distances and configuration in molecules and ions. London, UK: Chemical Society.
  • J.E. Huheey; E.A. Keiter & R.L. Keiter (1993). Inorganic Chemistry : Principles of Structure and Reactivity (4th ed.). New York, USA: HarperCollins. ISBN 0-06-042995-X.
  • W.W. Porterfield (1984). Inorganic chemistry, a unified approach. Reading Massachusetts, USA: Addison Wesley Publishing Co. ISBN 0-201-05660-7.
  • A.M. James & M.P. Lord (1992). Macmillan's Chemical and Physical Data. MacMillan. ISBN 0-333-51167-0.

Metallic radius

Greenwood, Norman N.; Earnshaw, Alan (1997). Chemistry of the Elements (2nd ed.). Butterworth-Heinemann. doi:10.1016/C2009-0-30414-6. ISBN 978-0-08-037941-8.