4-Aminobiphenyl

4-Aminobiphenyl
Names
Preferred IUPAC name
[1,1′-Biphenyl]-4-amine
Other names
4-Aminobiphenyl, xenylamine, 4-ABP
4-Aminodiphenyl[1]
p-Aminobiphenyl[1]
p-Aminodiphenyl[1]
4-Phenylaniline[1]
Identifiers
3D model (JSmol)
ChEBI
ChEMBL
ChemSpider
ECHA InfoCard 100.001.980
EC Number
  • 202-177-1
KEGG
RTECS number
  • DU8925000
UNII
UN number 3077
  • InChI=1S/C12H11N/c13-12-8-6-11(7-9-12)10-4-2-1-3-5-10/h1-9H,13H2 checkY
    Key: DMVOXQPQNTYEKQ-UHFFFAOYSA-N checkY
  • InChI=1/C12H11N/c13-12-8-6-11(7-9-12)10-4-2-1-3-5-10/h1-9H,13H2
    Key: DMVOXQPQNTYEKQ-UHFFFAOYAX
  • c1ccccc1c2ccc(N)cc2
Properties
C12H11N
Molar mass 169.227 g·mol−1
Appearance White solid
Odor Floral[1]
Density 1.16 g/cm3[2]
Melting point 52 to 54 °C (126 to 129 °F; 325 to 327 K)[2]
Boiling point 302 °C (576 °F; 575 K)[2]
Slightly soluble in cold water, soluble in hot water[3]
Vapor pressure 20 mbar (191 °C)[2]
Acidity (pKa) 4.35 (conjugate acid; 18 °C, H2O)[4]
Hazards
Occupational safety and health (OHS/OSH):
Main hazards
potential occupational carcinogen[1]
NFPA 704 (fire diamond)
NFPA 704 four-colored diamondHealth 2: Intense or continued but not chronic exposure could cause temporary incapacitation or possible residual injury. E.g. chloroformFlammability 1: Must be pre-heated before ignition can occur. Flash point over 93 °C (200 °F). E.g. canola oilInstability 0: Normally stable, even under fire exposure conditions, and is not reactive with water. E.g. liquid nitrogenSpecial hazards (white): no code
2
1
0
Flash point 147 °C (297 °F; 420 K)
450 °C (842 °F; 723 K)
NIOSH (US health exposure limits):
REL (Recommended)
carcinogen[1]
IDLH (Immediate danger)
N.D.[1]
Except where otherwise noted, data are given for materials in their standard state (at 25 °C [77 °F], 100 kPa).
☒N verify (what is checkY☒N ?)
Infobox references

4-Aminobiphenyl (4-ABP) is an organic compound with the formula C6H5C6H4NH2. It is an amine derivative of biphenyl. It is a colorless solid, although aged samples can appear colored. 4-Aminobiphenyl was commonly used in the past as a rubber antioxidant and an intermediate for dyes.[5] Exposure to this aryl-amine can happen through contact with chemical dyes and from inhalation of cigarette smoke.[6] Researches showed that 4-aminobiphenyl is responsible for bladder cancer in humans and dogs by damaging DNA.[7] Due to its carcinogenic effects, commercial production of 4-aminobiphenyl ceased in the United States in the 1950s.[8]

Synthesis and reactivity

Like other aniline derivatives, 4-aminobiphenyl is weakly basic. It is prepared by reduction of 4-nitrobiphenyl:

C6H5−C6H4NO2 + 3 H2 → C6H5−C6H4NH2 + 2 H2O

Together with other isomers, 4-nitrobiphenyl is obtained by nitration of biphenyl.[9] 4-Aminobiphenyl can in principle be obtained by reduction of 4-azidobiphenyl with diphosphorus tetraiodide (P2I4).

Mechanism of action

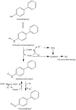
Possible mechanism for formation of reactive oxygen species during 4-aminobiphenyl metabolism leading to DNA damage.

General mechanism

4-Aminobiphenyl causes DNA damage, which is thought to be mediated by formation of DNA adducts. In this process, 4-aminobiphenyl is oxidized in the liver giving the N-hydroxy derivative (4-aminobiphenyl-(NHOH)) by a cytochrome P450 isozyme. The final products of this metabolism are aryl nitrenium ions which form DNA adducts.[10] During this process reactive oxygen species might also be produced and lead to oxidative DNA damage which might also play a role in the carcinogenesis. (N-hydroxy derivative causes oxidative DNA damage dramatically enhanced by NADH which leads to oxidation of 4-aminobiphenyl to a hydronitroxide radical).[10] A linear correlation was found between adduct levels and the occurrence of liver tumors in female mice by comparing DNA adducts and tumorigenesis.

4-ABP leading to mutation in p53 gene

One mechanism by which 4-ABP causes bladder cancer is a mutation in the p53 gene, which are seen in thirty to sixty percent of bladder cancer cases. The p53 gene codes for the tumor suppressor p53 proteins. A mutation in this gene can lead to formation of tumors. Five p53 hotspots are known for bladder cancer. These are three CpG sites that are common hotspots in several human cancers, which are on codons 175, 248 and 273. The other two codons are 280 and 285 do not have CpG sites. These sites are unique hotspots for mutation in bladder cancer and other urinary tract cancers, which chemistry is not yet fully understood.[11]

NAT1 and NAT2 can O-acetylate N-hydroxy-4-aminobiphenyl (above) and N-acetylate 4-amino biphenyl (below)

Metabolism process in humans

Cytochrome P450 1A2 oxidizes 4-aminobiphenyl to N-hydroxy-4-aminobiphenyl. Following O-acetylation, the latter can form DNA adducts. O-Acetylation reactions are catalyzed by NAT, N-acetyltransferase; and UDP-glucuronosyltransferase (UGT) enzymes.[12] Two different enzymes can catalyze this reaction, NAT1 and NAT2. These enzymes can also N-acetylate 4-aminobiphenyl. N-Acetylated products are difficult to oxidize and because of this acetylation is considered a detoxification step for aromatic amines.

Glucuronidation also represents a major metabolic pathway for carcinogenic aromatic amines. A certain human UGT catalyzes the formation of the N-glucuronide of 4-aminobiphenyl. Glucuronidation results in inactivation and excretion, therefore N-glucuronidation also competes with N-oxidation.4-aminobiphenyl is proposed to initiate bladder cancer by a mechanism involving hepatic N-oxidation and subsequent N-glucuronidation. The N-hydroxy aryl amine N-glucuronide conjugate is thought to be excreted from the liver and to build up in the bladder lumen. N-glucuronides of 4-aminobiphenyl and N-hydroxy-4-aminobiphenyl can be hydrolyzed by acidic urine to their corresponding arylamines, they can in turn enter the bladder epithelium and undergo further metabolism by peroxidation and/or O-acetylation to form DNA adducts.[12]

Toxicity

Human toxicity

Toxic fumes arise from this compound when heated to decomposition.[13] Excessive inhalation exposure of 4-aminobiphenyl may induce acute toxicity such as headache, lethargy, cyanosis and burning sensations mainly in the urinary tract.[14]

4-Aminobiphenyl is a human carcinogen, specifically to the tissues involving the urinary system, i.e., the bladder, ureter, and renal pelvis. In one study, out of 171 workers in a plant manufacturing 4-aminobiphenyl, 11% of them developed bladder tumors.[13] Tumors appeared on subjects which were exposed by 4-aminobiphenyl in a range of duration from 1.5 to 19 years. The compound can be metabolized by humans which the product may form adducts with DNA in human urothelial mucosa and bladder tumor tissues. Levels of these adducts in smokers of blond and black tobacco were found to be proportional to bladder cancer risk.[13]

Animal toxicity

The LD50 (dogs, oral) is 25 mg/kg.[15] The oral LD50 for rats are 500 mg/kg body weight and for rabbits are 690 mg/kg body weight.[16] Repeated oral administration of a 25% 4-aminobiphenyl solution in olive oil led rabbits to weight loss, anemia, decrease in the number of lymphocytes, increase of granulocytes or the rod neutrophilic granulocyte and to a pronounced hematuria or hemoglobinuria.[14]

References

  1. ^ a b c d e f g h NIOSH Pocket Guide to Chemical Hazards. "#0025". National Institute for Occupational Safety and Health (NIOSH).
  2. ^ a b c d Record of CAS RN 92-67-1 in the GESTIS Substance Database of the Institute for Occupational Safety and Health, accessed on 8. April 2009.
  3. ^ Humans, IARC Working Group on the Evaluation of Carcinogenic Risk to (2010). Some Aromatic Amines, Organic Dyes, and Related Exposures. International Agency for Research on Cancer.
  4. ^ Haynes, William M., ed. (2016). CRC Handbook of Chemistry and Physics (97th ed.). CRC Press. pp. 5–88. ISBN 978-1498754286.
  5. ^ Humans, IARC Working Group on the Evaluation of Carcinogenic Risk to (2012). 4-AMINOBIPHENYL. International Agency for Research on Cancer.
  6. ^ Radomski, J.L. (1979). "The Primary Aromatic Amines: Their Biological Properties and Structure-Activity Relationships". Annual Review of Pharmacology and Toxicology. 19: 129–157. doi:10.1146/annurev.pa.19.040179.001021. PMID 378100.
  7. ^ Babu, S.R. (1996). "Glucuronide Conjugates of +Aminobiphenyl and Its Hydroxy Metabolites". Biochemical Pharmacology. 51 (12): 1679–1685. doi:10.1016/0006-2952(96)00165-7. PMID 8687483.
  8. ^ Koss, L.G. (1969). "Further cytologic and histologic studies of bladder lesions in workers exposed to para-aminodiphenyl: progress report". Journal of the National Cancer Institute. 43 (1): 233–243. doi:10.1002/ijc.21173. PMID 15880493.
  9. ^ Bell, Frank; Keny-on, Joseph; Robinson, P. H. (1926). "Diphenyl series. I. Migration reactions". Journal of the Chemical Society. 129: 1239–47. doi:10.1039/JR9262901239.
  10. ^ a b Murata, Mariko (2001). "Mechanism of oxidative DNA damage induced by carcinogenic 4-aminobiphenyl". Free Radical Biology and Medicine. 30 (7): 765–773. doi:10.1016/S0891-5849(01)00463-4. PMID 11275476.
  11. ^ Feng, Z. (2002-10-01). "4-Aminobiphenyl is a major etiological agent of human bladder cancer: evidence from its DNA binding spectrum in human p53 gene". Carcinogenesis. 23 (10): 1721–1727. doi:10.1093/carcin/23.10.1721. ISSN 0143-3334. PMID 12376482.
  12. ^ a b Babu, S. R.; Lakshmi, V. M.; Huang, G. P.; Zenser, T. V.; Davis, B. B. (1996-06-28). "Glucuronide conjugates of 4-aminobiphenyl and its N-hydroxy metabolites. pH stability and synthesis by human and dog liver". Biochemical Pharmacology. 51 (12): 1679–1685. doi:10.1016/0006-2952(96)00165-7. ISSN 0006-2952. PMID 8687483.
  13. ^ a b c "4‑Aminobiphenyl" (PDF). Retrieved 2018-03-14.
  14. ^ a b The MAK-Collection for Occupational Health and Safety: Annual Thresholds and Classifications for the Workplace, 1.
  15. ^ "4-Biphenylamine". Retrieved 2018-03-21.
  16. ^ Tao, Chen (2005). "4-Aminobiphenyl induces liver DNA adducts in both neonatal and adult mice but induces liver mutations only in neonatal mice". International Journal of Cancer. 117 (2): 182–187. doi:10.1002/ijc.21173. PMID 15880493.