1-Aminocyclopropane-1-carboxylate synthase

1-aminocyclopropane-1-carboxylate synthase
Structure of ACC Synthase
Identifiers
EC no.4.4.1.14
CAS no.72506-68-4
Databases
IntEnzIntEnz view
BRENDABRENDA entry
ExPASyNiceZyme view
KEGGKEGG entry
MetaCycmetabolic pathway
PRIAMprofile
PDB structuresRCSB PDB PDBe PDBsum
Gene OntologyAmiGO / QuickGO
Search
PMCarticles
PubMedarticles
NCBIproteins

The enzyme aminocyclopropane-1-carboxylic acid synthase (ACC synthase, ACS) (EC 4.4.1.14) catalyzes the synthesis of 1-Aminocyclopropane-1-carboxylic acid (ACC), a precursor for ethylene, from S-Adenosyl methionine (AdoMet, SAM), an intermediate in the Yang cycle and activated methyl cycle and a useful molecule for methyl transfer:

S-adenosyl-L-methionine = 1-aminocyclopropane-1-carboxylate + S-methyl-5-thioadenosine

Like other PLP dependent enzymes, it catalyzes the reaction through a quinonoid zwitterion intermediate and uses cofactor pyridoxal phosphate (PLP, the active form of vitamin B6) for stabilization.[1][2][3]

This enzyme belongs to the family of lyases, specifically carbon-sulfur lyases. The systematic name of this enzyme class is S-adenosyl-L-methionine S-methyl-5-thioadenosine-lyase (1-aminocyclopropane-1-carboxylate-forming). Other names in common use include 1-aminocyclopropanecarboxylate synthase, 1-aminocyclopropane-1-carboxylic acid synthase, 1-aminocyclopropane-1-carboxylate synthetase, aminocyclopropanecarboxylic acid synthase, aminocyclopropanecarboxylate synthase, ACC synthase, and S-adenosyl-L-methionine methylthioadenosine-lyase. This enzyme participates in propanoate metabolism. It employs one cofactor, pyridoxal phosphate.

Enzyme mechanism

ACC Synthase Complex with PLP
ACC Synthase Complex with PLP: Catalytic Domain
Formation of the ACS-PLP Schiff Base.
Lys to SAM Imine Exchange.
Formation of the Quinonoid Intermediate.
Tyrosine and PLP stabilized 3C-Ring formation.

The reaction catalyzed by 1-aminocyclopropane-1-carboxylic acid synthase (ACS) is the committed and rate-limiting step in the biosynthesis of ethylene [20], a gaseous plant hormone that is responsible for the initiation of fruit ripening, shoot and root growth and differentiation, leaf and fruit abscission, flower opening, and flower and leaf senescence. (source) It is a pyridoxal phosphate (PLP) dependent gamma-elimination (?). In the gamma elimination, PLP acts as a sink twice (absorbing electrons from two deprotonations).[4][5]

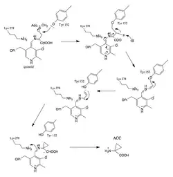
Proposed steps of the reaction mechanism:

  1. Formation of the ACS-PLP Schiff Base
  2. Imine Exchange
  3. Formation of the Quinonoid Intermediate
  4. Tyrosine and PLP stabilized 3C-Ring formation
Formation of the ACS-PLP Schiff Base

The aldehyde of coenzyme PLP reacts to form an imine (Schiff base) linkage with the catalytic domain lysine (278) residue of ACS.

Imine exchange

An imine exchange occurs, and the amine nitrogen of the substrate, S-Adenosyl methionine, replaces Lys (278) in the imine linkage. (Stabilized by H bonding).

Formation of the Quinonoid Intermediate

PLP acts as an 'electron sink' absorbing delocalized electron density during the reaction intermediates (countering the excess electron density on the deprotonated a-carbon). PLP facilitates the enzyme activity, increasing the acidity of the alpha carbon by stabilizing the conjugate base. The PLP-stabilized carbanion intermediate formed is the quinonoid intermediate.

Tyrosine and PLP stabilized 3C-Ring formation

PLP and Tyrosine stabilize negative charges during deprotonation. Tyrosine attacks the sulfur bound carbon, allowing S(CH3)(Ado) to leave, and during ring formation, Tyrosine leaves.

    • Note inhibitors AVG and AMA bind PLP to form a ketimine and oxime respectively (whose reverse reactions are much less favorable) and prevent the ACC synthase catalyzed reaction with SAM.[3][6]

Regulation

ACC synthase reaches optimal activity in conditions of pH 8.5 and with Km = 20 um relative to its substrate, SAM.

ACC Synthase and ethylene biosynthesis are regulated by a whole host of stimuli. Stresses such as wounding, noxious chemicals, auxin, flooding, and indole-3-acetic acid (IAA) promote ethylene synthesis, creating a positive feedback cycle with ACC synthase, up-regulating its activity.

However, it is also inhibited by a number of compounds as well. S-Adenosylethionine can bind as a substrate for ACC synthase (with higher affinity than SAM) and therefore inhibit any reaction with SAM. ACC Synthase is also competitively inhibited by aminoethoxyvinylglycine (AVG) and aminooxyacetic acid (AOA), inhibitors to many pyridoxal phosphate-mediated enzymic reactions. They are natural toxins that cause slow binding inhibition by interfering with the coenzyme pyridoxal phosphate. ACC synthase activity is also inhibited by intermediates of the activated methyl cycle and the methionine-recycling pathway: 5-methylthioadenosine, α-keto-γ-methylthiobutyric acid, and S-adenosylhomocysteine.[7][8][9]

Structure

ACC Synthase is 450-516 amino acid long sequence depending on the species of plant from which it is extracted. Though it is comparable in the species in which it is found, its COOH-terminal domain is more variable, leading to differences such as oligomerization. The COOH-terminal domain is responsible for oligomerization. In most ACC Synthase producing cells, ACC Synthase exists as a dimer. However, in some we find a monomer ("which is more active and efficient [than its dimer counterpart").[10]

The structure of ACS has been largely determined via X-ray crystallography.[7] Conservation of the residues in ACS's catalytic domain and sequence homology suggest that ACS catalyzes the synthesis of ACC in a similar fashion as other enzymes that require PLP as a cofactor. However, unlike many other PLP-dependent enzymes, Lys (278) is not the only residue that interacts with the substrate. The proximity of the electronegative oxygen from Tyr (152) to the C-γ-S bond suggests a crucial role in the formation of ACC.[7] X-ray crystallography with aminoethoxyvinylglycine (AVG) a competitive inhibitor confirmed Tyrosine's role in the γ elimination.[11]

As of late 2007, 6 structures have been solved for this class of enzymes, with PDB accession codes 1B8G, 1IAX, 1IAY, 1M4N, 1M7Y, and 1YNU.

Lysine and Tyrosine Residues in the Substrate Binding Site

Catalytic domain

The main functional groups in the catalytic domains are the Nitrogen from the Lys 278 residue and the Oxygen from the Tyrosine 152 residue.

Biological function and applications

ACC Synthase is the key, rate limiting step in ethylene synthesis. Because the up-regulation of ACC-Synthase is what induces fruit ripening and often spoilage there is more research being done on the regulatory mechanisms and biosynthetic pathways of ethylene to avoid spoilage.[8][12]

Notes

  1. ^ Zhang Z, Ren JS, Clifton IJ, Schofield CJ (October 2004). "Crystal structure and mechanistic implications of 1-aminocyclopropane-1-carboxylic acid oxidase—the ethylene-forming enzyme". Chem. Biol. 11 (10): 1383–94. doi:10.1016/j.chembiol.2004.08.012. PMID 15489165.
  2. ^ Capitani G, Hohenester E, Feng L, Storici P, Kirsch JF, Jansonius JN (December 1999). "Structure of 1-aminocyclopropane-1-carboxylate synthase, a key enzyme in the biosynthesis of the plant hormone ethylene". J. Mol. Biol. 294 (3): 745–56. doi:10.1006/jmbi.1999.3255. PMID 10610793.
  3. ^ a b Huai Q, Xia Y, Chen Y, Callahan B, Li N, Ke H (October 2001). "Crystal structures of 1-aminocyclopropane-1-carboxylate (ACC) synthase in complex with aminoethoxyvinylglycine and pyridoxal-5'-phosphate provide new insight into catalytic mechanisms". J. Biol. Chem. 276 (41): 38210–6. doi:10.1074/jbc.M103840200. PMID 11431475.
  4. ^ Li JF, Qu LH, Li N (August 2005). "Tyr152 plays a central role in the catalysis of 1-aminocyclopropane-1-carboxylate synthase". J. Exp. Bot. 56 (418): 2203–10. doi:10.1093/jxb/eri220. PMID 15983009.
  5. ^ Capitani G, McCarthy DL, Gut H, Grütter MG, Kirsch JF (December 2002). "Apple 1-aminocyclopropane-1-carboxylate synthase in complex with the inhibitor L-aminoethoxyvinylglycine. Evidence for a ketimine intermediate". J. Biol. Chem. 277 (51): 49735–42. doi:10.1074/jbc.M208427200. PMID 12228256. S2CID 1019316.
  6. ^ Wang KL, Li H, Ecker JR (2002). "Ethylene biosynthesis and signaling networks". Plant Cell. 14 Suppl (Suppl): S131–51. Bibcode:2002PlanC..14S.131W. doi:10.1105/tpc.001768. PMC 151252. PMID 12045274.
  7. ^ a b c Yip WK, Moore T, Yang SF (March 1992). "Differential accumulation of transcripts for four tomato 1-aminocyclopropane-1-carboxylate synthase homologs under various conditions". Proc. Natl. Acad. Sci. U.S.A. 89 (6): 2475–9. Bibcode:1992PNAS...89.2475Y. doi:10.1073/pnas.89.6.2475. PMC 48681. PMID 1549612.
  8. ^ a b Acaster MA, Kende H (May 1983). "Properties and Partial Purification of 1-Aminocyclopropane-1-carboxylate Synthase". Plant Physiol. 72 (1): 139–45. doi:10.1104/pp.72.1.139. PMC 1066183. PMID 16662947.
  9. ^ Lewis DR, Negi S, Sukumar P, Muday GK (August 2011). "Ethylene inhibits lateral root development, increases IAA transport and expression of PIN3 and PIN7 auxin efflux carriers". Development. 138 (16): 3485–95. doi:10.1242/dev.065102. PMID 21771812. S2CID 7211767.
  10. ^ Kathiresan A, Nagarathna KC, Moloney MM, Reid DM, Chinnappa CC (January 1998). "Differential regulation of 1-aminocyclopropane-1-carboxylate synthase gene family and its role in phenotypic plasticity in Stellaria longipes". Plant Mol. Biol. 36 (2): 265–74. doi:10.1023/A:1005994118535. PMID 9484438. S2CID 9161137.
  11. ^ Yip WK, Moore T, Yang SF (March 1992). "Differential accumulation of transcripts for four tomato 1-aminocyclopropane-1-carboxylate synthase homologs under various conditions". Proc. Natl. Acad. Sci. U.S.A. 89 (6): 2475–9. Bibcode:1992PNAS...89.2475Y. doi:10.1073/pnas.89.6.2475. PMC 48681. PMID 1549612.
  12. ^ Nakatsuka A, Murachi S, Okunishi H, et al. (December 1998). "Differential expression and internal feedback regulation of 1-aminocyclopropane-1-carboxylate synthase, 1-aminocyclopropane-1-carboxylate oxidase, and ethylene receptor genes in tomato fruit during development and ripening". Plant Physiol. 118 (4): 1295–305. doi:10.1104/pp.118.4.1295. PMC 34745. PMID 9847103.

References